Fantasy League Scores
Scores for drivers/constructors in the current year’s fantasy league, along with manager/team points, values, and statistics. Note: driver and constructor values are taken as the cost to enter the current race and are updated the week before the race.
Lineup Scores
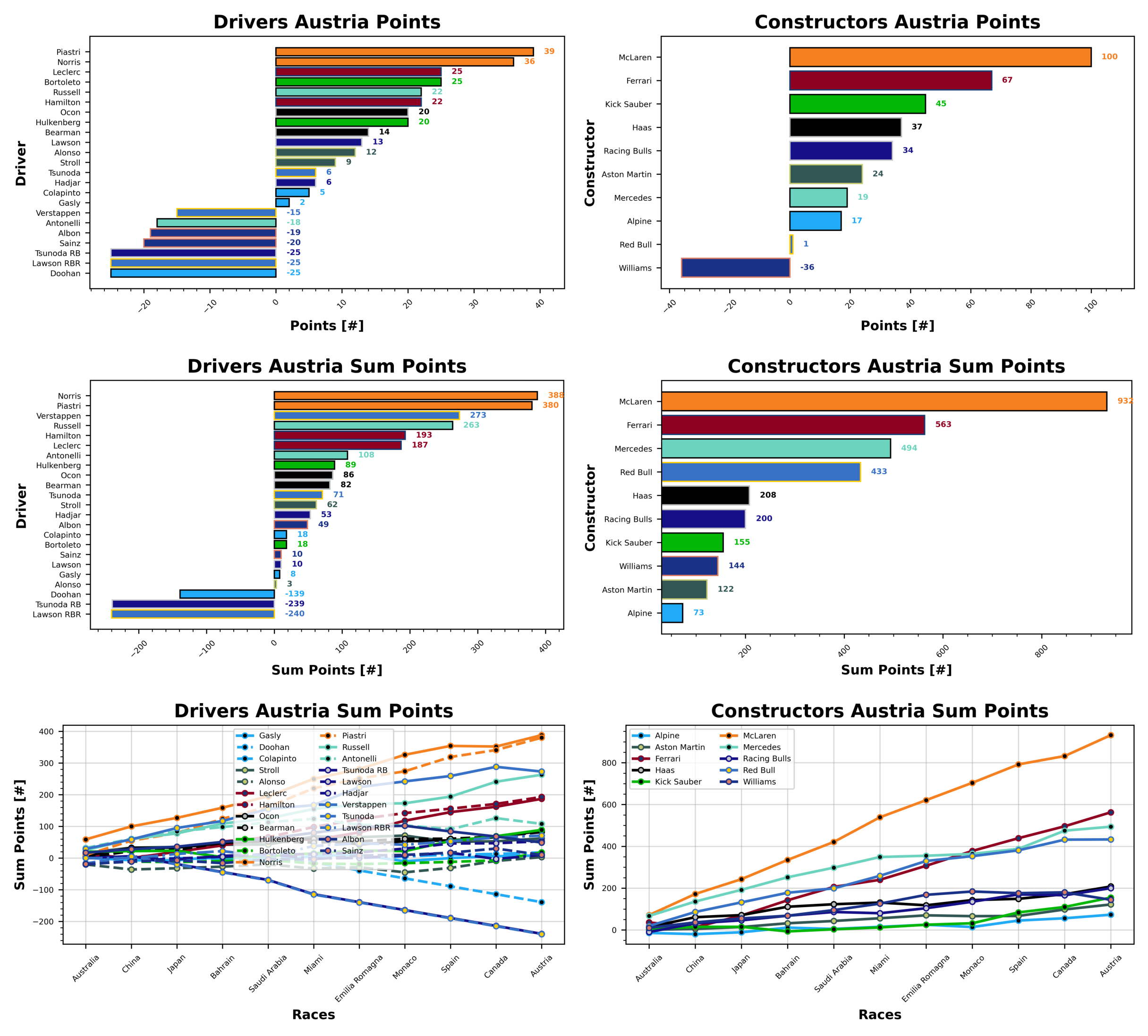
Bouncing back from a mediocre Canada, it’s Oscar Piastri who takes the top step this week, pipping his race winning teammate by 3 points. The pair come home with 39 and 36 points each. Charles Leclerc ties Austria Superstar Gabriel Bortoleto for third place with 25 points, ahead of former teammates Russell and Hamilton in fourth with 22. To continue the ties, it’s Esteban Ocon and Nico Hulkenberg who round out the top five with 20 points. Carlos Sainz’s disappointing run sees him at the bottom of the table this week with -20 points, behind teammate Alex Albon who brings home -19. Kimi Antonelli’s DNF sees him and Verstappen towards the back with -18 and -15 points. Pierre Gasly rounds out the bottom five with 2 points.
McLaren return back to the top step with 100 points this week ahead of Ferrari in second with 67. Kick Sauber have another good week, coming in in third with 45 points. Williams suffer a huge blow to their points tally with -36 this weekend, behind Red Bull and a solitary point. Alpine round out the bottom three with 17 points.
Lando holds onto the lead for another week with 388 points, just 8 ahead of Piastri now in second place. Verstappen clings onto third with 273, while George chases him down with 263 points. Lewis Hamilton sits in fifth with 193 points. Fernando Alonso finally makes it into positive points, his total is now 3. Pierre Gasly is next with 8 points, behind Liam Lawson and Carlos Sainz with 10. Colapinto and Bortoleto are next up with 18 points, behind Alex Albon with 49.
McLaren extend their lead at the top of the table, the Woking team now sitting on 932 points, ahead of Ferrari in second with 563 points. Mercedes cling onto third place with 494 points. Alpine are at the back with 73 points, behind Aston Martin with 122. Williams round out the bottom three with 144 points.

Lando’s value takes a dip this week, he’ll still set you back a huge 31.0, but it is the start of a trend. Verstappen also takes a little drop to 29.2. Piastri, however, is on the rise, now costing 25.2, with the Ferrari boys behind at 24.3 and 23.6 for Leclerc and Hamilton. Bortoleto was your cheapest option of the weekend at 4.5, behind Colapinto, Lawson, Doohan, and Alonso, with values of 4.7, 4.8, 5.0, and 5.1.
McLaren’s value continues to rise, the championship leaders getting up to 33.0. Ferrari are next at 29.1 ahead of Red Bull at 27.8. Kick Sauber were your cheapest constructor at 6.9, behind Alpine at 8.3 and Aston Martin at 8.9.
All values are in Million Dollars.
With Verstappen’s DNF, there are now only two drivers who have scored positively in every weekend. Those drivers are Oscar Piastri and George Russell. However, Yuki Tsunoda saves the day and keeps Red Bull up there with Mercedes and McLaren with a 100% record so far this season.

Colapinto might not be scoring positively all the time, but he is consistent, having a standard deviation of 2.35. Bearman and Hadjar are also up there with consistency. Your least consistent drivers are Antonelli, Verstappen and Norris, who have a huge variation in their average scores. Aston Martin are your most consistent team of the season so far, with Ferrari your least consistent team, with massive variation in their average score.

What a weekend for Kick Sauber, their drivers top the driver of the week table. Gabriel Bortoleto comes away from Austria with a pointe per value of 5.56 ppm ahead of Nico Hulkenberg with 2.78 ppm. Liam Lawson put in a good performance this week at 2.71 ppm ahead of Esteban Ocon at 2.6 ppm. Fernando Alonso is in fifth with another good week at 2.35 ppm. Your worst driver of the weekend was Carlos Sainz with -2.41 ppm behind Albon with -1.53 ppm. Kimi Antonelli is next at -0.98 ppm, behind Verstappen with -0.51 ppm. Pierre Gasly is in fifth with 0.34 ppm.
Back-to-back-to-back team of the weeks for Kick Sauber, a huge 6.52 ppm in Austria - mega. Haas are in second at 3.63 ppm, ahead of McLaren with 3.03 ppm. Williams were the worst team of the week with -2.16 ppm, behind Red Bull at 0.04 ppm. Mercedes round out the bottom three with 0.77 ppm.
ppm = points per million Dollars.

Manager Scores
Another close week in the team standings, but the honours go to Stefanus and Syahrul with 308 points. Jake and Kick Sauber In The Audi come in in second place with 295 points ahead of Stefanus and Gelael with 283. Patrick and You Hadjar Chance Racing bring home 267 points ahead of Pete and Monaco Barrier Testers with 264 points.
Finn and Ro@d R@ge were the worst team of the week, somehow managing to bring home 4 points. Will and Axelrods Allinol Allstars are next with 16 points. Golf League leader Stuart and Taylormade to Lose are in third with 46 points behind Valerie and Perez For World Champion with 53 points. Pete makes another fifth place appearance with Seagiant F1 Online and 64 points.

Stefanus and Syahrul take the lead this week with 2350 points, just ahead of Sebastian and Bridgestone Toro Rosso F1 with 2265 points. Stefanus makes it a double podium place in third with Haryanto and 2193 points ahead of Alfie and I Call Patrick Subaru with 2192 points. Stefanus gets all three teams in the top five with Gelael sitting on 2150 points.
Stuart and Taylormade To Lose hold on to the lead again with 158 points, ahead of Valerie and Perez For World Champion with 229 points. Valerie is also in third with What Arrrgh Ya Doohan and 250 points. Then we have Alfie with Cucumberpotatolamborghini with 302 points. James and Bwoah Schweppes Puma Golf round out the bottom five with 320 points.
Our biggest winner this week is Jake and Kick Sauber In The Audi with 4 positions gained. Our biggest loser is Will and Axelrods Allinol Allstars who drop 5 places.

Hadjar continues his stranglehold over your interests this week, making 35 selections. Fernando Alonso goes up to second in your selections, hitting 26. Oscar Piastri is next up with 22 selections, ahead of Alex Albon with 16. Nico Hulkenberg is next with 15 selections.
Hamilton is your least chosen driver at 2, behind Tsunoda and Verstappen who only manage 3. Antonelli and Norris are next at 4 selections, followed by Leclerc with 5. Stroll, Lawson, and Gasly make it to 6 of your teams.
McLaren, Racing Bulls, and Haas are your three teams of choice with 17, 15, and 13 selections each. Alpine are your least chosen with only 5 appearances. Red Bull and Williams are next with only 6, followed by Mercedes and Aston Martin at 7.
Oscar Piastri is boosted across 22 of his selections, followed by Doohan with 5. Norris and Leclerc are boosted 4 times each. We have 5 tokens this week, with 4 No Negatives and 1 Auto Pilot used.

Prizes
I have now updated the prizes plotting for my code and we should be able to track the season long prizes with ease. So without further adieu, let’s take a look at what is currently in play this season.
Championship
| Prize Name | Prize Value | Terms |
|---|---|---|
| (%) | ||
| Champion of the World | 20 | Awarded to the top scorer in the league at the end of the season |
| If You’re Not First, You’re Last | 10 | Awarded to the second place scorer in the league at the end of the season |
| Alpine Podium | 5 | Awarded to the third place scorer in the league at the end of the season |
| Above Par | 20 | Awarded to the lowest scorer in the league at the end of the season, commonly referred to as the Golf League |
Achievements
| Prize Name | Prize Value | Terms |
|---|---|---|
| (%) | ||
| Cost Cappen | 5 | Highest average points per value at the end of the season |
| Sprint King | 5 | Highest score across the sprint races (China, Miami, Belgium, United States, Brazil, Qatar) |
| Flavio Controls Every Millimeter | 5 | Manager wide substitution count, highest wins |
| The Triple Header | 5 | Highest score across the triple header races (Japan, Bahrain, Saudi Arabia, Emilia Romagna, Monaco, Spain, Las Vegas, Qatar, Abu Dhabi) |
| I Forgot I Was Taking Part | 5 | Highest score in the first part of the season |
| Zak’s Master Plan | 5 | Lowest score in the second half of the season |
| Mega Driver | 5 | Highest Extra DRS token score |
| The Continental | 5 | Highest score across all 5 continents, Mexico classed as South America for inclusion only (Australia, Canada, Great Britain, Azerbaijan, Mexico) |
Spot Prizes
| Prize Name | Prize Value | Terms |
|---|---|---|
| (%) | ||
| The Ring | 1 | Highest score at the Austrian Grand Prix |
| Bottas Bowling | 1 | Highest score at the Hungarian Grand Prix |
| Daniel’s Broken Hand | 1 | Lowest score at the Netherlands Grand Prix |
| The Tifosi | 1 | Lowest score at the Italian Grand Prix |
| Go For The Gap | 1 | Lowest score at the Singapore Grand Prix |
Spot Prizes
We haven’t had a spot prize yet, I will post about it when we have one!
There was a bit of an error processing prizes this week, but the only one that really matters is the Austria Spot Prize, which of course went to Stefanus and Syahrul for scoring 308 points
Cost Cappen
Sebastian returns to the top this week with Bridgestone Toro Rosso F1 with 2.06 ppm, ahead of Alfie and I Call Patrick Subaru with 1.99 ppm. Stefanus and Syahrul are in third with 1.98 ppm.

Flavio Controls Every Millimeter
Stuart retakes the lead at the top of this table with Murder On Zidane’s Floor and 25 substitutes. Stefanus and Syahrul are in second with 24, and Haryanto is in third with 23. None of these teams have hit the penalty cap yet.

Mega Driver
Check back later!
Sprint King
No Change. Sebastian is in the lead with Bridgestone Toro Rosso F1 and 652 points, ahead of Josh with Expensify APX GP and HSBC Jaguar Racing with 622 and 591 points.

The Continental
Canada was of course part of The Continental prize this year. The standings are currently Sebastian at the top with Bridgestone Toro Rosso F1 and 384 points, ahead of Chloe and Miss Fritter Is Back with 353. Jake is in third with Kick Sauber In The Audi and 334 points.

The Triple Header
Stefanus is dominating this prize with all three teams. Gelael, from Syahrul and Haryanto, with 1342, 1255 and 1218 points respectively.

I Forgot I Was Taking Part
I Forgot I Was Taking Part will match up with the current championship standings. Bridgestone Toro Rosso F1 (2074), Syahrul (2042), and I Call Patrick Subaru (2001).

Zak’s Master Plan
Check back after the season break!
F1 Predict
Phil took the top step this weekend with 82 points, scoring 67% of the correct predictions. Val was second with 81 points and also 67% correct predictions. Stuart took third with 61 points and 47% correct. Everyone else scored 0.
That means Stuart holds on to the lead with 643 points (49%), ahead of Phil with 617 (47%), and Val with 587 points (47%). Josh is in fourth place with 525 (35%), ahead of Pierce with 248 (45%) and Matty with 95 (43%).
Next Up
Next up before a little break we have Silverstone, the home of Formula 1. There’s been much hype about Lando finally taking a British GP win, but let’s see if he can put his money where his mouth is.
