Fantasy League Scores
Scores for drivers/constructors in the current year’s fantasy league, along with manager/team points, values, and statistics. Note: driver and constructor values are taken as the cost to enter the current race and are updated the week before the race.
Lineup Scores
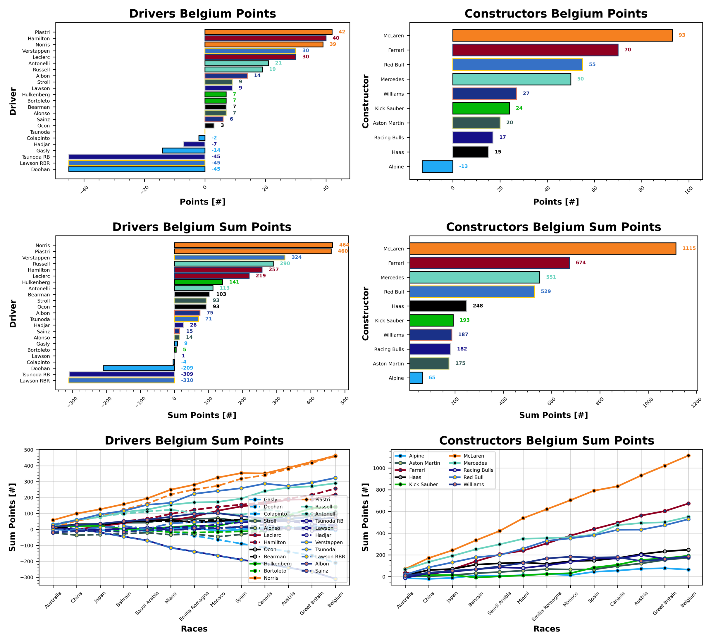
Race winner Oscar Piastri tops the board this week with 42 points, but it’s close with Lewis Hamilton in second with 40, gaining points and places in the wet weather. Lando Norris is a close third too with 39 points. Max Verstappen and Charles Leclerc are joint fourth with 30 points, with Kimi Antonelli rounding out the top five with 21 points. Pierre Gasly finishes last this week with -14 points, behind Isack Hadjar with -7 points. A poor week for Alpine is compounded by Colapinto with -2 points, and Yuki Tsunoda has another pointless weekend. Esteban Ocon rounds out the bottom five with 3 points.
McLaren continue their reign on the championship with another top weekly score of 93 points. Ferrari are a distant second with 70, ahead of Red Bull with 55. Alpine were the worst team of the week, losing 13 points. Haas and Racing Bulls were also at the bottom with 15 and 17 points.
It’s getting really close at the top, with Lando Norris sitting on 464 and Oscar Piastri sitting on 460. They are both well clear of Max Verstappen in third with 324 points, ahead of George Russell with 290. Lewis Hamilton rounds out the top five with 237 points. Franco Colapinto is firmly at the bottom with -4 points, behind Liam Lawson with 1. Gabriel Bortoleto comes in with 3 points behind Pierre Gasly with 9. Fernando Alonso rounds out the bottom five with 14.
McLaren sit alone at the top with 1115 points ahead of Ferrari in second with 674. Mercedes fend off Red Bull for another week with 551 points. Alpine still sit at the bottom with 65 points, but it’s really close up ahead. Aston Martin are at the bottom of the next tier with 175 points, behind Racing Bulls with 182.

Lando’s value takes a dip this week, he’ll still set you back a huge 30.8. Verstappen also takes a little drop to 28.6. Piastri, however, is on the rise, now costing 25.8, with the Ferrari boys behind at 24.1 and 23.4 for Leclerc and Hamilton. Lawson and Colapinto were your cheapest option of the weekend at 4.5, behind Bortoleto, Alonso, Hadjar, and Gasly with values of 4.9, 6.3, 6.3, and 6.6. Carlos Sainz rounds out the cheap seats at 7.1. McLaren’s values continues to rise, the championship leaders getting up to 33.6. Ferrari are next at 29.7, ahead of Red Bull at 28.0. Kick Sauber were your cheapest option at 8.1, behind Alpine at 9.5, and Aston Martin at 10.1.
All values are in Million Dollars.
There are still only two drivers to keep 100% positive results this season, those being George Russell and Oscar Piastri. Interestingly, Colapinto has now reached the same level of inconsistency as Jack Doohan in a similar number of races. Red Bull, Mercedes, and McLaren continue their 100% record, with Alpine and Racing Bulls are still the least consistent.

Mr Consistent, Colapinto, continues a reasonable grouping with 6.16 standard deviation. He’s joined there by the two Haas drivers of Bearman and Ocon. The least consistent driver of the season so far is Kimi Antonelli, followed by Verstappen and then Hulkenberg. Aston Martin are your most consistent team of the season, with a standard deviation of 11.08, followed by Alpine and Haas. Mercedes and Ferrari are you least consistent of the year.

Liam Lawson tops the driver of the week board this week, with a points per value of 2.0 ppm. He’s ahead of Lewis Hamilton with 1.71 ppm and Oscar Piastri with 1.63 ppm. Gabriel Bortoleto recovers well with 1.43 ppm ahead of Lando Norris with 1.27 ppm. Pierre Gasly was the worst driver of the week with -2.12 ppm, behind Isack Hadjar with -1.11 ppm. Franco Colapinto is next with -0.44, behind Yuki Tsunoda with 0. Esteban Ocon rounds out the bottom five with 0.34 ppm.
Kick Sauber were your team of the week with 2.96 ppm, ahead of McLaren in second with 2.77 ppm. Ferrari round out the top three with 2.36 ppm. Alpine were your worst team of the week with -1.37 ppm, behind Haas with 1.32 ppm and Racing Bulls with 1.37 ppm.
ppm = points per million Dollars.

Manager Scores
Patrick and You Hadjar Change Racing take the top step of the podium this week with a huge 386 points. They’re ahead of Josh and HSBC Jaguar Racing with 365, tied for second with Phil and BMW Motorrad. Josh and Kingfisher Force India F1 are in third place with 355 points, ahead of Jake and Red Bull Whats That 2nd with 337. Jake rounds out the top five places with Kick Sauber In The Audi and 293 points.
Valerie takes the honours at the bottom of the table this week with What Arrrgh Ya Doohan scoring -88 points, they’re in second too with Perez For World Champion and -76 points. Stuart and Taylormade To Lose are next up with -72 points. Valerie takes fourth place as well this week with Stroll To The 18th and -66 points, and James rounds out the bottom five with Bwoah Schweppes Puma Golf and -34 points.

Stefanus holds onto their 1-2-3 this week, with Syahrul, Gelael, and Haryanto sitting on 2877, 2650, and 2623 points respectively. Patrick moved up into fourth with You Hadjar Chance Racing with 2605, and Sebastian drops down to fifth with Bridgestone Toro Rosso F1 and 2568 points.
Stuart holds onto their lead in the Golf League with Taylormade To Lose and -23 points. Valerie is in second and third with Perez For World Champion and What Arrrgh Ya Doohan sitting on 121 and 139 points, ahead of James and Bwoah Schweppes Puma Golf with 229. Valerie rounds out the bottom five with Stroll To The 18th and 238 points.
Our biggest winner this week was Josh with Kingfisher Force India F1 jumping up 6 places. Our biggest loser was Chloe, whose team Miss Fritter Is Back dropped 7 places in the standings.

Hadjar’s popularity may be dwindling somewhat this week, he’s currently at the top of your selections but only 25 this time round. Piastri is the next most popular, coming in with 23 selections, ahead of Hulkenberg and Alonso with 22 and 21 selections each. Oliver Bearman is your fifth most chosen driver with 14. Kimi Antonelli is your least chosen driver this week, with only 1 team running him. Yuki Tsunoda is next with 2 choices (1 less than his inactive token), behind Pierre Gasly and Lewis Hamilton with 6 choices. Then it’s a tie between Verstappen, Stroll, and Lawson with 7 selections each. Charles Leclerc rounds out the bottom five with 9 selections.
McLaren, Haas, and Ferrari are your most selected teams, with 22, 16, and 14 selections respectively. Mercedes make the fewest selections for Belgium with only 3 teams deciding to select the former champions. Red Bull and Williams appear 5 times, with Aston Martin and Alpine making 6 selections.
Oscar Piastri is certainly flavour of the month, making 17 DRS boosts this week and a further 6 Extra DRS boosts. Charles Leclerc and Jack Doohan make 5 each, followed by Norris with 4. Max Verstappen gets an extra DRS boost this week too. So we had 7 Extra DRS tokens, 5 Limitless tokens, and an Auto Pilot token used.

Prizes
I have now updated the prizes plotting for my code and we should be able to track the season long prizes with ease. So without further adieu, let’s take a look at what is currently in play this season.
Championship
| Prize Name | Prize Value | Terms |
|---|---|---|
| (%) | ||
| Champion of the World | 20 | Awarded to the top scorer in the league at the end of the season |
| If You’re Not First, You’re Last | 10 | Awarded to the second place scorer in the league at the end of the season |
| Alpine Podium | 5 | Awarded to the third place scorer in the league at the end of the season |
| Above Par | 20 | Awarded to the lowest scorer in the league at the end of the season, commonly referred to as the Golf League |
Achievements
| Prize Name | Prize Value | Terms |
|---|---|---|
| (%) | ||
| Cost Cappen | 5 | Highest average points per value at the end of the season |
| Sprint King | 5 | Highest score across the sprint races (China, Miami, Belgium, United States, Brazil, Qatar) |
| Flavio Controls Every Millimeter | 5 | Manager wide substitution count, highest wins |
| The Triple Header | 5 | Highest score across the triple header races (Japan, Bahrain, Saudi Arabia, Emilia Romagna, Monaco, Spain, Las Vegas, Qatar, Abu Dhabi) |
| I Forgot I Was Taking Part | 5 | Highest score in the first part of the season |
| Zak’s Master Plan | 5 | Lowest score in the second half of the season |
| Mega Driver | 5 | Highest Extra DRS token score |
| The Continental | 5 | Highest score across all 5 continents, Mexico classed as South America for inclusion only (Australia, Canada, Great Britain, Azerbaijan, Mexico) |
Spot Prizes
| Prize Name | Prize Value | Terms |
|---|---|---|
| (%) | ||
| The Ring | 1 | Highest score at the Austrian Grand Prix |
| Bottas Bowling | 1 | Highest score at the Hungarian Grand Prix |
| Daniel’s Broken Hand | 1 | Lowest score at the Netherlands Grand Prix |
| The Tifosi | 1 | Lowest score at the Italian Grand Prix |
| Go For The Gap | 1 | Lowest score at the Singapore Grand Prix |
We have developed another problem with the spot prizes this week and I will be using the summer break to fix this issue, please excuse this. It’s difficult to scan through the data in the form I keep it, and occasionally things go wrong like this.
Spot Prizes
We haven’t had a spot prize yet, I will post about it when we have one!
Cost Cappen
Flavio Controls Every Millimeter
Mega Driver
Check back later!
Sprint King
The Continental
The Triple Header
I Forgot I Was Taking Part
Zak’s Master Plan
Check back after the season break!
F1 Predict
Another week at the top for Stuart who took 51 points home from Spa. Phil was a close second with 46, ahead of Josh with 30. Val, Pierce, and Matty all scored 0.
That means we still have Stuart holding onto the lead with 756 points, ahead of Phil with 720, Val holds onto third with 644, and Josh is in fourth with 600 points. Pierce stays in fifth with 248, and Matty in sixth with 95.
That means Stuart holds on to the lead with 705 points ahead of Phil with 674, and Val with 644 points. Josh is in fourth place with 570, ahead of Pierce with 248, and Matty with 95.
Next Up
Next up we have the final race before the summer break, a newly refurbished Hungaroring. It should be a good one, all the best!
