Fantasy League Scores
Scores for drivers/constructors in the current year’s fantasy league, along with manager/team points, values, and statistics. Note: driver and constructor values are taken as the cost to enter the current race and are updated the week before the race.
Lineup Scores
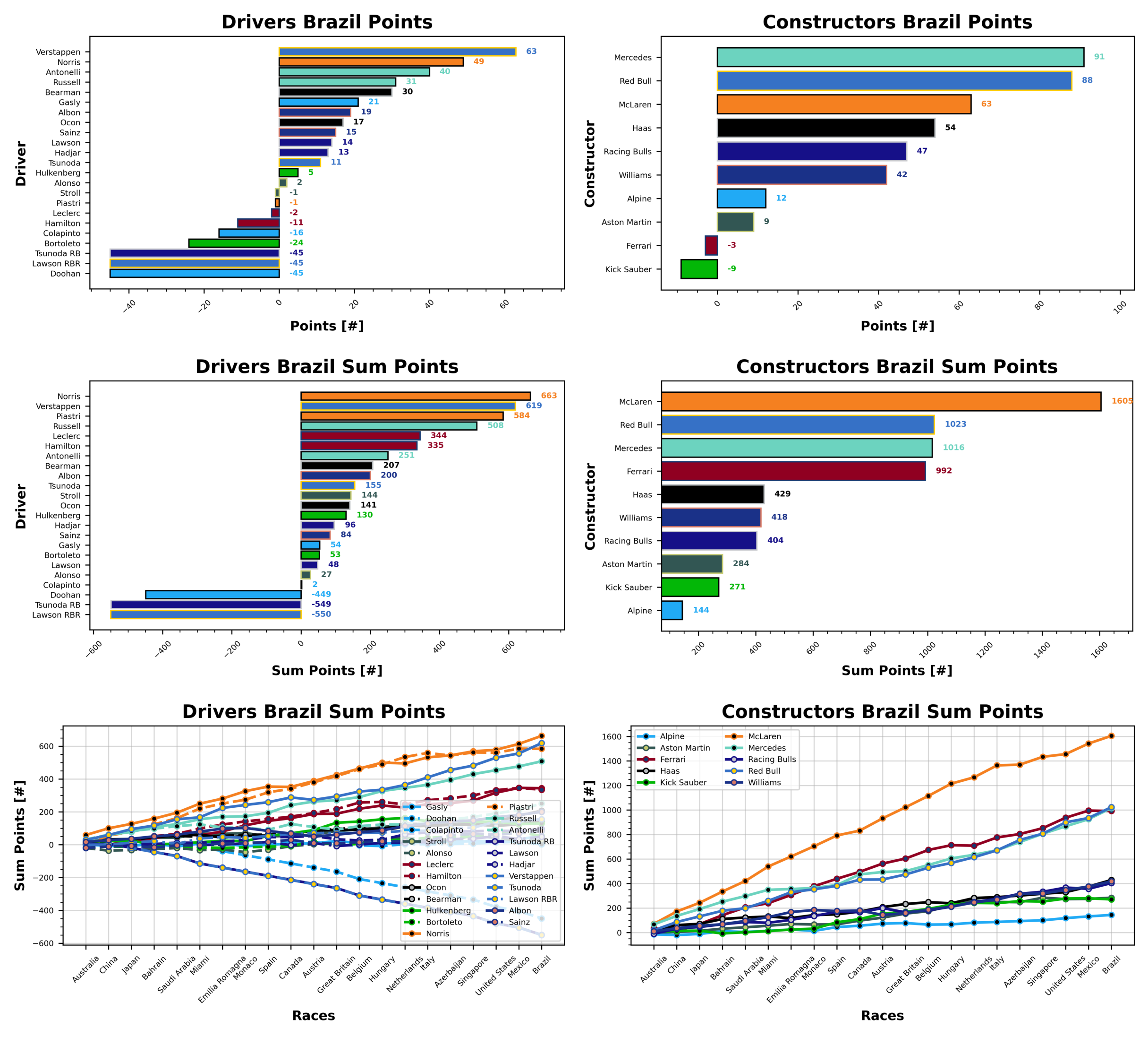
It’s reigning world champion Max Verstappen who takes the top step of the podium this week after an absolutely mega drive from the pitlane to P3 in the race. The Dutchman brings home 63 points, ahead of title rival Lando Norris in second place with 49 points. Kimi Antonelli secures third place with 40 points, outscoring his more experienced teammate Russell with 31. A stunning performance from Bearman sees him round out the top five with 30 points. Gabriel Bortoleto has a shocker on home soil with a massive crash, resulting in -24 points from the weekend. Franco Colapinto joins him at the bottom with -16, and Lewis Hamilton is in third with -11 points. A double negative weekend for Ferrari with Charles Leclerc bringing home -2 points. Oscar Piastri falls from grace with -1 point this week, joined by Lance Stroll to round out the bottom five.
Mercedes just edge out Red Bull at the top this week with a 91 points haul to the Milton Keynes-Team’s 88. McLaren are a distant third place with 63 points. Kick Sauber come home with -9 points, behind Ferrari with -1 and Aston Martin with 9 points.
Lando continues to hold on to the lead in the championship standings with 663 points, but with a strong result in Brazil, it’s now Max Verstappen who is in second place with 619 points. Oscar Piastri is in third place with 584 points with George Russell in fourth with 508. Charles Leclerc is still winning the Ferrari battle in fifth with 344 points. Franco Colapinto continues his run at the bottom of the table with 2 points, behind Fernando Alonso with 27. Next up is Liam Lawson with 48, followed by Gabriel Bortoleto with 53. Pierre Gasly rounds out the bottom five with 54 points.
Without a disastrous last three races, McLaren have the championship signed, sealed, and delivered with 1605 points. But a strong weekend from Red Bull and Mercedes have shaken things up in the battle for second. It’s Red Bull who have the advantage with 1023 points, ahead of Mercedes with 1016 points. Alpine are at the bottom of the table with 144 points, behind Kick Sauber with 271 and Aston Martin with 284 points.

Norris’ value took another dip this week to 30.4, with Verstappen your second most expensive at 29.2. Piastri next, sitting at 26.0, with Russell behind at 23.4. Leclerc’s value is diverging again from Hamilton’s at 23.3. Colapinto and Gasly remain your cheapest options at 4.7, behind Alonso at 5.5. Hadjar is the cheaper RB driver at 5.9, followed by Sainz at 6.3. Lawson and Ocon finish up the cheap 5 at 6.5.
McLaren are your most expensive team at 35.6, ahead of Ferrari at 31.5 and Red Bull at 30.2. Alpine are by far the cheapest team on the grid at 9.1, behind Kick Sauber at 10.5 and Aston Martin at 11.7.
All values are in Million Dollars.
We are fast approaching the part of the season where we can safely crown the driver of the year as George Russell, who has made it 21 races with a 100% positive record. Max Verstappen has, so far, been the second most consistent of the year, ahead of Ocon and Norris. Franco Colapinto has been the least consistent driver of the season with a positive rate of 42.86%, behind Alonso, Bortoleto, and Lawson. Gasly and Tsunoda round out the bottom three with 2/3 positive scoring rate.
Red Bull, Mercedes, and McLaren continue their 100% record, ahead of Williams, Haas, and Ferrari at 90%. Alpine, Kick Sauber, and Racing Bulls are at the bottom with 76% positive scoring, behind Aston Martin at 81%.

Colapinto remains your most reliable driver of the season with a standard deviation of 6.77 points. He’s joined by Ocon, Russell, Stroll, and Gasly. Oscar Piastri is your least reliable driver with a standard deviation of 17.94 points. He’s joined by Antonelli, Verstappen, Norris, and Leclerc. This table is obviously slightly skewed by the massive points these drivers normally secure. Alpine are your most reliable team with a standard deviation of 11.37, they’re joined by Aston Martin and Kick Sauber. Ferrari are the least consistent team of the season with a standard deviation of 27.57, they’re joined by McLaren and Mercedes.

Driver of the week in Brazil is Piiiiierrrreee Gaasssssllllllyyyyy with a points per value of 4.47 ppm, ahead of the Haas pairing of Bearman and Ocon with 3.61 and 2.62 ppm, respectively. Antonelli makes it to fourth place with 2.45 ppm, and Sainz rounds out the top five with 2.38 ppm. Franco Colapinto makes it an Alpine sandwich at the bottom of the table with a -3.4 ppm, behind Bortoleto with -3.29. Hamilton next with -0.48 ppm, then we have Lance Stroll with -0.12 ppm. Charles Leclerc completes the bottom five with -0.09 ppm.
Haas make it back-to-back team of the weeks this week with 3.91 ppm, ahead of Mercedes with 3.31 ppm. Racing Bulls finish the podium with 3.26 ppm. Kick Sauber were your worst team of the week with -0.86 ppm, followed by Ferrari with -0.1 ppm. Aston Martin complete the bottom three with 0.77 ppm.
ppm = points per million Dollars.

Manager Scores
It’s a 1-2 for Val this week with Limoncello44 and No U Turn bringing home 357 and 354 points, ahead of Stefanus and Syahrul with 345. Phil and BMW Should Be Here make it to fourth place with 343 points ahead of Sebastian and Bridgestone Toro Rosso F1 with 303.
Valerie takes the top step in the Golf League this week with Perez for World Champion coming in with -104 points. Title leader Stuart and Taylormade To Lose are close behind with -92 points, followed by Valerie and Stroll to the 18th with -89. James and Bwoah Schweppes Puma Golf are next with -70 points, behind Alfie and Cucumberpotatolamborghini with -45 points.

Stefanus and Syahrul hold on to the top step in the standings with 4484 points ahead of Patrick and You Hadjar Chance Racing with 4178 points. Stefanus and Haryanto returns to third place with 4044 points ahead of Phil and BMW FTW with 4001. Sebastian and Bridgestone Toro Rosso F1 are holding onto the top five with 3996.
Stuart and Taylormade To Lose seem to have it wrapped up in the Golf League with -156 points, ahead of the Valerie army of Perez for World Champion, Stroll to the 18th, and What Arrrgh Ya Doohan with 66, 147, and 147 points. James and Bwoah Schweppes Puma Golf are in fifth place with 149 points.
Biggest winner this week is Sebastian and BWT Racing Point F1 who jump up 5 places in the standings. Biggest loser is James and Bwoah OnlyFans UPS Racing who drop 6 places.

Isack Hadjar continues his run as the most popular driver with 27 selections in Brazil. Carlos Sainz and Alonso make it 19 selections, ahead of Oscar Piastri with 17. Oli Bearman next with 16 selections, followed by Max Verstappen and George Russell with 15 selections. Lewis Hamilton and Yuki Tsunoda are the least selected drivers this week, with only 2 teams running them. Antonelli and Stroll next with 3 selections, followed by Lawson with 6. Esteban Ocon makes it 7 selections behind Charles Leclerc with 8.
McLaren are by far the most selected team on the grid with 20 selections this week. Kick Sauber are next with 15 selections, followed by Racing Bulls and Ferrari with 10. Alpine, Red Bull, and Williams are the least selected teams with only 6, behind Aston Martin and Mercedes with 7 selections. Haas are in the mid-pack with 9 selections.
Oscar Piastri remains the most boosted driver with 12 selections, ahead of Verstappen with 10. Lando Norris shoots up to third place with 6. We had four limitless tokens, 1 Auto Pilot token, and 1 Extra DRS token this week, with the extra DRS going to Lando Norris.
Please note, teams are only checked if their weekly scores do not match a copy-paste team sheet. Teams are checked at the end of the season to ensure accurate statistics.

Prizes
Championship
| Prize Name | Prize Value | Terms |
|---|---|---|
| (%) | ||
| Champion of the World | 20 | Awarded to the top scorer in the league at the end of the season |
| If You’re Not First, You’re Last | 10 | Awarded to the second place scorer in the league at the end of the season |
| Alpine Podium | 5 | Awarded to the third place scorer in the league at the end of the season |
| Above Par | 20 | Awarded to the lowest scorer in the league at the end of the season, commonly referred to as the Golf League |
Achievements
| Prize Name | Prize Value | Terms |
|---|---|---|
| (%) | ||
| Cost Cappen | 5 | Highest average points per value at the end of the season |
| Sprint King | 5 | Highest score across the sprint races (China, Miami, Belgium, United States, Brazil, Qatar) |
| Flavio Controls Every Millimeter | 5 | Manager wide substitution count, highest wins |
| The Triple Header | 5 | Highest score across the triple header races (Japan, Bahrain, Saudi Arabia, Emilia Romagna, Monaco, Spain, Las Vegas, Qatar, Abu Dhabi) |
| I Forgot I Was Taking Part | 5 | Highest score in the first part of the season |
| Zak’s Master Plan | 5 | Lowest score in the second half of the season |
| Mega Driver | 5 | Highest Extra DRS token score |
| The Continental | 5 | Highest score across all 5 continents, Mexico classed as South America for inclusion only (Australia, Canada, Great Britain, Azerbaijan, Mexico) |
Spot Prizes
| Prize Name | Prize Value | Terms |
|---|---|---|
| (%) | ||
| The Ring | 1 | Highest score at the Austrian Grand Prix |
| Bottas Bowling | 1 | Highest score at the Hungarian Grand Prix |
| Daniel’s Broken Hand | 1 | Lowest score at the Netherlands Grand Prix |
| The Tifosi | 1 | Lowest score at the Italian Grand Prix |
| Go For The Gap | 1 | Lowest score at the Singapore Grand Prix |
Spot Prizes
Spot prizes are all settled.
Cost Cappen
Patrick and You Hadjar Chance Racing are leading the way with 1.899 ppm. Stefanus and Syahrul are in second with 1.888 ppm, ahead of Phil and BMW FTW with 1.818 ppm.
Flavio Controls Every Millimeter
Stefanus and Haryanto lead the way with 47 subs, their other team Gelael is tied at the top with 47, along with Sebastian and BWT Racing Point F1. Josh and Expensify APX GP are in second with 45 subs, with their other team in third place in the form of Kingfisher Force India F1 with 44.
Mega Driver
Check back later!
Sprint King
Brazil marked the penultimate sprint race, and as we go towards the final round in Qatar, here’s how things stand. Josh and HSBC Jaguar Racing lead the way with 1304, ahead of Stefanus with Haryanto and Syahrul with 1294 and 1290 points.
The Continental
Finn takes the victory with Ro@d R@ge with 617 points. Sebastian is in second with Bridgestone Toro Rosso F1 and 599 points. Jake and Kick Sauber in the Audi are in third with 576 points.
The Triple Header
Stefanus occupies all three of the top spots with Gelael, Syahrul, and Haryanto with 1343, 1255, and 1218 points as we go into the final triple header of the season.
I Forgot I Was Taking Part
I Forgot I Was Taking Part comes to a close, with Stefanus and Syahrul taking the top step with 3128 points. Haryanto is in second with 2924 points, and Sebastian and Bridgestone Toro Rosso F1 rounds out the podium with 2874 points.
Zak’s Master Plan
Sam and Total F1 Performance lead the way with 1354 points, ahead of Patrick and You Hadjar Chance Racing with 1342. Stefanus and Syahrul are in third with 1306 points.
F1 Predict
Phil takes the top step this week with 90 points, ahead of Val in second with 55. All other managers failed to score this week.
With that, Phil holds onto the top step with 1316 points, ahead of Stuart in second with 1126 points. Val is in third place with 1073 ahead of Josh in fourth with 1004. Pierce is in fifth with 248, ahead of Matty with 95 points.
Next Up
Next up, we have the final triple header - Vegas, Qatar, Abu Dhabi. The final push for the title. Good luck to you all.
