Fantasy League Scores
Scores for drivers/constructors in the current year’s fantasy league, along with manager/team points, values, and statistics. Note: driver and constructor values are taken as the cost to enter the current race and are updated the week before the race.
Lineup Scores
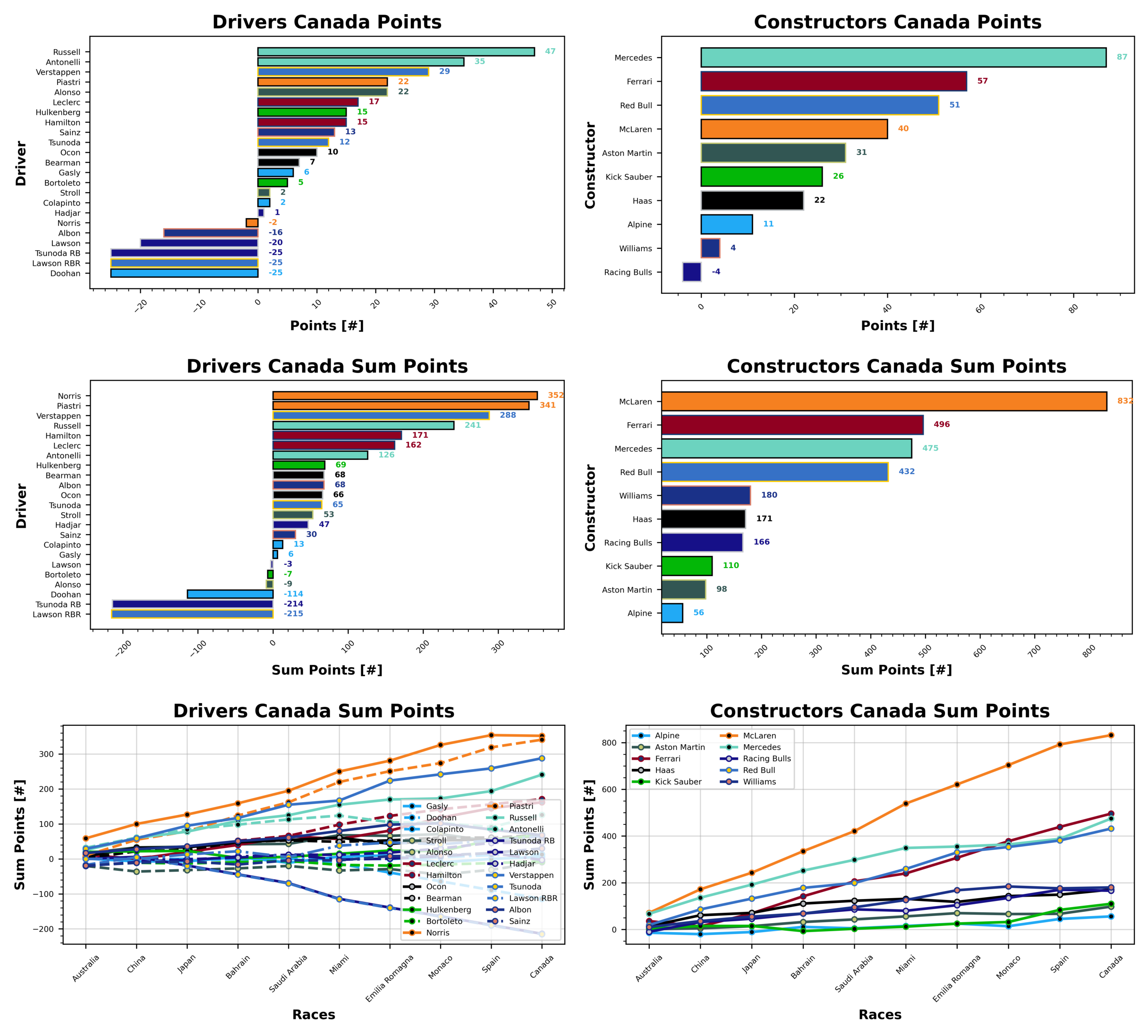
It’s a front row lockout for Mercedes this year with race winner George Russell taking the top step with 47 ahead of Kimi Antonelli with 35 points. Max Verstappen takes third place with 29 points, ahead of Oscar Piastri and Fernando Alonso in fourth with 22 points. Leclerc rounds out the top five with 17 points. Liam Lawson is our lowest scorer this week with -25, behind Alex Albon with -16. Lando Norris suffers his first negative of the season with -2 points. Then we have Isack Hadjar with 1 point, behind Lance Stroll and Franco Colapinto with 2 points.
Mercedes come away from Canada with a huge points score, and the first team to beat McLaren all season. 87 points for the Brackley ahead of Ferrari with 57 and Red Bull with 51. Racing Bulls suffer a 4 points loss at the bottom of the table, Williams just cling onto positive points with 4, and Alpine round out the bottom three with 11 points.
Lando still leads the way in the championship standings with 352 points, but the gap at the top has now come down to 11 points with Oscar Piastri taking chunks out of his teammate this week, the Aussie now has 341 points. Max Verstappen clings on to their heels in third with 288 points, ahead of George Russell in fourth with 241. Hamilton is taking the honours at Ferrari in fifth with 171 points. Fernando Alonso remains at the bottom of the table with -9 points after a relatively huge points haul for him this week, he’s behind Gabriel Bortoleto with -7 points. Liam Lawson slips into the negative with -3 points in third, behind Pierre Gasly with 6. Franco Colapinto rounds out the bottom five with 13.
McLaren are still at the top of the table with 832 points, but it is getting really spicy for second place. Ferrari hold on at the moment with 496 ahead of Mercedes with 475. Red Bull are still in this with 432 points in fourth. Alpine remain at the bottom of the table with 56 points, behind Aston Martin with 98. Kick Sauber round out the bottom three with 110 points.

Norris’ value continues to rise, the Brit will now cost you 31.1 ahead of Verstappen at 29.3. Piastri continues to shoot up too with 24.9. Leclerc and Hamilton round out the top five with 24.2 and 23.7, respectively. Alonso, Bortoleto, and Colapinto are still the cheapest at 4.5, behind Lawson at 5.4 and Hadjar at 6.1. Gasly is next at 6.4 and Hulkenberg rounds out the cheap five with 6.6.
McLaren were your most expensive team, and most expensive token ever, at 32.7, ahead of Ferrari and Red Bull at 28.8 and 27.5, respectively. Kick Sauber were your cheapest team of the week at 6.3, behind Alpine at 7.7 and Aston Martin at 8.7.
All values are in Million Dollars.
With Norris scoring negative this week, there are now only three drivers having a perfect season. They are, reigning world champion Max Verstappen, Canadian Grand Prix winner George Russell, and championship leader Oscar Piastri. Things are really starting to even out now. Similarly, there are only three teams to score positively all season after Williams have a poor weekend. These are Red Bull, Mercedes, and McLaren.

Colapinto might not be scoring positively all the time, but he is consistent, having a standard deviation of 2.19. Bearman and Bortoleto are also up there with consistency. Your least consistent drivers are Antonelli and Norris, who have a huge variation in their average scores. Aston Martin are your most consistent team of the season so far, with Ferrari your least consistent team, with massive variation in their average score.

It fills me with joy, after such a disappointing start to the season, to say that Fernando Alonso was your driver of the week this week with a huge 4.89 points per million. Nico Hulkenberg continues a good run in second with a points per value of 2.27 ppm, ahead of Russell with 2.15 ppm, and Antonelli with 1.88 ppm. Carlos Sainz rounds out the top five with 1.53 ppm. Liam Lawson was your worst driver of the weekend with a points per value of -3.7 ppm, behind Alex Albon with -1.23. Lando Norris is up next with -0.06 ppm, behind Isack Hadjar with 0.16 ppm. Lance Stroll rounds out the bottom five with 0.22 ppm.
Back-to-back team of the week awards this week for Kick Sauber, not quite as impressive as last time out, but 4.13 ppm is still very good. Mercedes were your second best team, pipping Aston Martin by 0.01 ppm, the pair come home with 3.57 and 3.56 ppm. Racing Bulls were your worst team of the week with -0.34 ppm, behind Williams with 0.23. McLaren round out the worst three this week with 1.22 ppm.
ppm = points per million Dollars.

Manager Scores
It was super close at the top this week, but the honours go to Josh and Expensify APX GP who scored 196 points ahead of Sebastian and Allianz BMW Williams in second with 195 points. Josh and Sebastian were joint third with Kingfisher Force India F1 and Bridgestone Toro Rosso F1 both scoring 183 points. Jake and Kick Sauber In The Audi were in fourth with 179 points, ahead of Patrick and You Hadjar Chance Racing with 175 points, rounding out the top five.
Stuart and Taylormade To Lose were your worst team this week, scoring -4 points, behind Valerie and Stroll To The 18th who managed 1 point. Then we have Valerie and Perez For World Champion with 2 points, behind James and Bwoah Schweppes Puma Golf with 3. Rounding out the bottom five with 11 points is Valerie and What Arrrgh Ya Doohan.

Sebastian and Bridgestone Toro Rosso F1 retake the lead with 2074 points ahead of Stefanus and Syahrul with 2042. Alfie clings onto third place with I Call Patrick Subaru and 2001 points. Josh and Expensify APX GP move up a place to fourth this week with 1981 points, and Stefanus and Haryanto round out the top five with 1963 points.
Stuart and Taylormade to Lose hold on to the lead of the Golf League with 112 points, ahead of Alfie and Cucumberpotatolamborghini with 157 points. Valerie and Perez For World Champion are next with 176 points, ahead of their other team What Arrrgh Ya Doohan with 179 points. James and Bwoah Schweppes Puma Golf round out the bottom three with 237 points.
Our biggest winner this week is Sebastian and Allianz BMW Williams shooting uup 5 places. Our biggest loser was Val and Its ‘Odinge’ dropping 5 places.
Stefanus holds on to the lead in the average manager points for the season, sitting on 1957.33, ahead of Sebastian with 1764.67, and Josh with 1714.33. Valerie is our worst manager of the season with 204.67 points, behind Will with 800.67 and Pete with 1000.33.

Hadjar continues his stranglehold over your interests this week, making 35 selections. Oscar Piastri is some way behind with 21, followed by Alonso with 18, Albon with 16, and Sainz and Bearman with 15.
There’s still a Lawson Red Bull token kicking around, but it’s Yuki Tsunoda who is the least selected live driver, with 1 selection. Then it’s Verstappen and Hamilton with 2 selections. Then it’s Yuki Tsunoda’s RB token with 3 behind Kimi Antonelli and Lando Norris with 6 selections in fifth.
McLaren, Racing Bulls, and Kick Sauber are your three teams of choice, with 18, 15, and 13 selections each. Aston Martin and Red Bull only makes 4, with Alpine just ahead with 5 selections, and Mercedes and Ferrari rounding out the bottom three with 8.
Oscar Piastri is boosted 19 times, ahead of Leclerc with 6 a piece. Norris and Doohan are all boosted 5 times. We have no tokens used this week.

Prizes
I have now updated the prizes plotting for my code and we should be able to track the season long prizes with ease. So without further adieu, let’s take a look at what is currently in play this season.
Championship
| Prize Name | Prize Value | Terms |
|---|---|---|
| (%) | ||
| Champion of the World | 20 | Awarded to the top scorer in the league at the end of the season |
| If You’re Not First, You’re Last | 10 | Awarded to the second place scorer in the league at the end of the season |
| Alpine Podium | 5 | Awarded to the third place scorer in the league at the end of the season |
| Above Par | 20 | Awarded to the lowest scorer in the league at the end of the season, commonly referred to as the Golf League |
Achievements
| Prize Name | Prize Value | Terms |
|---|---|---|
| (%) | ||
| Cost Cappen | 5 | Highest average points per value at the end of the season |
| Sprint King | 5 | Highest score across the sprint races (China, Miami, Belgium, United States, Brazil, Qatar) |
| Flavio Controls Every Millimeter | 5 | Manager wide substitution count, highest wins |
| The Triple Header | 5 | Highest score across the triple header races (Japan, Bahrain, Saudi Arabia, Emilia Romagna, Monaco, Spain, Las Vegas, Qatar, Abu Dhabi) |
| I Forgot I Was Taking Part | 5 | Highest score in the first part of the season |
| Zak’s Master Plan | 5 | Lowest score in the second half of the season |
| Mega Driver | 5 | Highest Extra DRS token score |
| The Continental | 5 | Highest score across all 5 continents, Mexico classed as South America for inclusion only (Australia, Canada, Great Britain, Azerbaijan, Mexico) |
Spot Prizes
| Prize Name | Prize Value | Terms |
|---|---|---|
| (%) | ||
| The Ring | 1 | Highest score at the Austrian Grand Prix |
| Bottas Bowling | 1 | Highest score at the Hungarian Grand Prix |
| Daniel’s Broken Hand | 1 | Lowest score at the Netherlands Grand Prix |
| The Tifosi | 1 | Lowest score at the Italian Grand Prix |
| Go For The Gap | 1 | Lowest score at the Singapore Grand Prix |
Spot Prizes
We haven’t had a spot prize yet, I will post about it when we have one!
Cost Cappen
Sebastian returns to the top this week with Bridgestone Toro Rosso F1 with 2.06 ppm, ahead of Alfie and I Call Patrick Subaru with 1.99 ppm. Stefanus and Syahrul are in third with 1.98 ppm.

Flavio Controls Every Millimeter
Stuart retakes the lead at the top of this table with Murder On Zidane’s Floor and 25 substitutes. Stefanus and Syahrul are in second with 24, and Haryanto is in third with 23. None of these teams have hit the penalty cap yet.

Mega Driver
Check back later!
Sprint King
No Change. Sebastian is in the lead with Bridgestone Toro Rosso F1 and 652 points, ahead of Josh with Expensify APX GP and HSBC Jaguar Racing with 622 and 591 points.

The Continental
Canada was of course part of The Continental prize this year. The standings are currently Sebastian at the top with Bridgestone Toro Rosso F1 and 384 points, ahead of Chloe and Miss Fritter Is Back with 353. Jake is in third with Kick Sauber In The Audi and 334 points.

The Triple Header
Stefanus is dominating this prize with all three teams. Gelael, from Syahrul and Haryanto, with 1342, 1255 and 1218 points respectively.

I Forgot I Was Taking Part
I Forgot I Was Taking Part will match up with the current championship standings. Bridgestone Toro Rosso F1 (2074), Syahrul (2042), and I Call Patrick Subaru (2001).

Zak’s Master Plan
Check back after the season break!
F1 Predict
Josh took the top step this week with 116 points (67%) ahead of Val in second with 93 points (53%). Then we have Phil with 83 (57%) and Stuart with 65 (43%). Pierce and Matty come away with 0 this weekend.
Stuart holds on to the lead with 582 points (49%), ahead of Phil with 535 (45%). Josh moves up to third with 525 points (35%) ahead of Val in fourth with 506 (45%). Pierce is in fifth with 248 (45%) ahead of Matty with 95 points (43%).
Next Up
Next up we return to the Styrian hills of the Red Bull ring, and our first spot prize of the year! Highest score takes the honours, good luck all.
