Below are the links to the news stories heading into the Imola Grand Prix weekend.
Fantasy League Scores
Scores for drivers/constructors in the current year’s fantasy league, along with manager/team points, values, and statistics. Note: driver and constructor values are taken as the cost to enter the current race and are updated the week before the race.
Lineup Scores
This week, reigning world champion Max Verstappen takes the top step of the podium with an absolutely huge 57 points ahead of the two McLaren boys with 31 points a piece. Hamilton takes the bragging rights in Ferrari this week in third place with 25 points, just one ahead of Charles Leclerc with 24 in fourth place. Alex Albon rounds out the top five with a fairly impressive 18 points. We now have three inactive drivers, with Aussie Doohan taking the latest benching, and I will ignore them in my report, but be aware that they exist. Kimi Antonelli is our worst scoring driver of the week, with the DNF undoing all the good work he did during the race, the Italian brings home -19 points this week. Esteban Ocon, who also retired, is next with -18 points, followed by Bortoleto and Stroll with -2 points. Franco Colapinto has a relatively quiet weekend after the crash, bringing home no points from the weekend. Pierre Gasly rounds out the bottom five with 3 points, tied with RB’s Liam Lawson.
McLaren dominance may bore fans, but they top the weekly table again this week with 82 points. Their rivals are much closer this week, with Red Bull in second with 71 and Ferrari with 67. Haas have a disappointing weekend at the bottom of the table with -13 points, Mercedes suffer with their 1 DNF and bring home only 6 points. Alpine round out the bottom three with 10 points.
Aside from the gain in points, it’s as it was last time out for the two McLarens, Lando still leads with 281 and Piastri is in second with 251, the pair scoring equally means that gap doesn’t change. However, Max Verstappen is catching, and he is in third place with 224 points. George Russell sits in fourth with 170 points, ahead of former teammate Lewis Hamilton with 123 points. Fernando Alonso continues to dwell at the bottom of the table, the Spaniard scoring positively this week, but not enough to bring him into positive points, he sits on -29. Gabriel Bortoleto joins him down there with -19 points, followed by Colapinto with 0. Liam Lawson is next, with his solitary point, behind Carlos Sainz who finally makes it out of the negatives with 8 points.
McLaren hold onto their lead at the top of the table, and it is getting a little humiliating now, the Woking outfit sit on 621 points ahead of Mercedes with 355 and Red Bull with 330. It is really hotting up in the battle for second, but there’s plenty of time left to go in the season before we give up hope. Alpine and Kick Sauber are tied at the bottom with 25 points, behind Aston Martin with 70 and Racing Bulls with 104 points.
I am hoping to be adding to this soon to include positions gained in the standings for drivers and teams, it’s roughly the same code as it is for the league positions, so it shouldn’t be too hard for me to do that. Bare with me, I’m getting there on making this the most informative it can possibly be.

Lando’s value increases again up to 30.4, ahead of reigning champion Verstappen who sits at 28.8. Charles Leclerc decreases down to 24.3, ahead of Oscar Piastri at 24.0 and Lewis Hamilton at 23.6. Bortoleto and Colapinto were your cheapest options this week, both at 4.5. Hadjar and Alonso are next at 5.5 and 5.6, respectively. Followed by Lawson and Hulkenberg at 6.0. Pierre Gasly rounds out the cheap five at 8.2. McLaren’s value continues to rise, up to a staggering 31.8 now, followed by Ferrari and Red Bull at 27.9 and 26.6, respectively. Kick Sauber have reached the bottom cap with a value of 4.5, behind Alpine at 8.3 and Aston Martin at 8.9.
All values are in Million Dollars.
Franco Colapinto is currently the worst driver of the season, scoring 0% positive and 0% negative with only one result of 0 points this week. Lawson and Bortoleto have a 42% positive points score, with the rest of the field being pretty well spread out. Verstappen, Russell, Piastri, Norris, and Albon are the only drivers to score positive points in every race this season. As for the constructors, Alpine are by far the worst, averaging only just above 50% positive scoring. Williams, Red Bull, Mercedes, McLaren, and somehow Aston Martin have scored positively in every race this season.
Consistency, as they say, is key, and it’s Alex Albon who is by far the most consistent driver of the season, only varying by 4 points from his average this season, that’s pretty good. He’s followed by Lawson, Russell, Bortoleto, and Bearman as the most consistent drivers. What is perhaps most impressive there, is Albon and Russell consistently scoring positive, and predictable points per race. As for the teams, it’s Aston Martin who are your most consistent team, averaging a variation of 5.45 points per week on their average score. They’re followed by Williams and Kick Sauber. So again, there it’s impressive from Williams and Aston to be scoring consistent positive points every week.

To add to that consistency, we are looking at George Russell and Alex Albon who are scoring 24.29 and 14.0 points per race at the moment, with very little variation there. That’s quite key when it comes to getting the most bang for your buck out of these drivers. As for the teams, Aston may be scoring consistently, but their average of 10 points per race is pretty low. Williams on the other hand are scoring 24 points per race with a good consistency.
The standard deviation is a measurement of consistency, so you’re looking for the lowest number here, and what it represents is the spread of results. For instance, Albon is averaging 14 points per race, with a spread of 4. Thus it is likely that he is scoring between 10 and 18 points. 68% of the time he will score within this range, and 98% of the time he scores between 6 and 22 points. So consistency is indeed key.

Your driver of the week this week was none other than reigning champion Max Verstappen, who brings in 1.98 ppm. Nico Hulkenberg makes it to P2 this week with a 1.5 ppm, ahead of Alex Albon with 1.41 ppm, Oscar Piastri with 1.29 ppm, and Carlos Sainz with 1.26 ppm. Your worst driver of the week was Esteban Ocon who brings home a -1.94 ppm, behind Kimi Antonelli with -0.97 ppm. Then we have Gabriel Bortoleto with -0.44 ppm, and Lance Stroll with -0.21 ppm. Colapinto rounds out the bottom five with 0 ppm. Kick Sauber, of all teams, are your best team of the week with 2.89 ppm, ahead of Red Bull with 2.67 ppm and Williams with 2.64 ppm. At the bottom, it’s Haas with -1.23 ppm, Mercedes with 0.24 ppm, and Alpine with 1.2 ppm.
ppm = points per million Dollars.

Manager Scores
Madlen makes their first appearance at the top of the weekly board in Imola, with their team Wet Tyres Are Blue bringing in 235 points, ahead of Josh and Expensify APX GP with 219 points. Val is a close third with No U Turn, and fourth with Limoncello44, both scoring 202 and 200 points, respectively. James rounds out the top five with a return to form for Bwoah Industries, their team Bwoah OnlyFans UPS Racing bringing in 189 points. Will takes the honours in the golf league this week with their team The Big One, coming home with -21 points. Close behind though, it’s Stuart and Taylormade To Lose with -19 and Valerie with Perez For World Champion with -18 points. Valerie is in fourth and fifth with their teams What Arrrgh Ya Doohan and Stroll To The 18th bringing in -15 and -12 points, respectively.
Finn was our manager of the week this week with 186 points across their teams. Then it’s Stefanus with 175.6, and Val with 171 points on average. Our worst manager of the week was Valerie with -15 points average, followed by Stuart with 57.67 and Phil with 96.33.

It’s getting very close at the top now, Alfie and I Call Patrick Subaru hold on to that top step with 1552 points, but Sebastian and Bridgestone Toro Rosso F1 are not far behind with 1533 in second. Stefanus makes the jump up to third this week with their team Haryanto sitting on 1446, ahead of Josh and Expensify APX GP with 1440. Stefanus rounds out the top five with Syahrul and 1415 points. Alfie is still leading in the Golf League but their team cucumberpotatolamborghini is now back in the black with 16 points. Stuart is in second with Taylormade To Lose and 113 points ahead of Valerie with What Arrrgh Ya Doohan and 143 points. James is in fourth with Bwoah Schweppes Puma Golf and 157 points, and Valerie rounds out the bottom five with Perez For World Champion on 170 points.
Our biggest winner this week was Madlen with Wet Tyres Are Blue jumping up 7 places in the standings. Sam and Grand Prix Princesses F1 jumped up 5, and Finn with Ro@d R@ge jump up 4 places. Our biggest loser was also Madlen with Push, Push - Box Now Too losing 7 places. Stuart and Andres Inyasista lose 6 places, and Sebastian and Madlen lose 4 places with their teams BWT Racing Point F1 and Soft Tyres Are Red.
Stefanus holds on to the lead in the average manager points for the season, sitting on 1337.67, ahead of Sebastian with 1269.33, and Josh with 1264.33. Valerie is our worst manager of the season with 187.67 points, behind Will with 547.33 and Pete with 716.33.

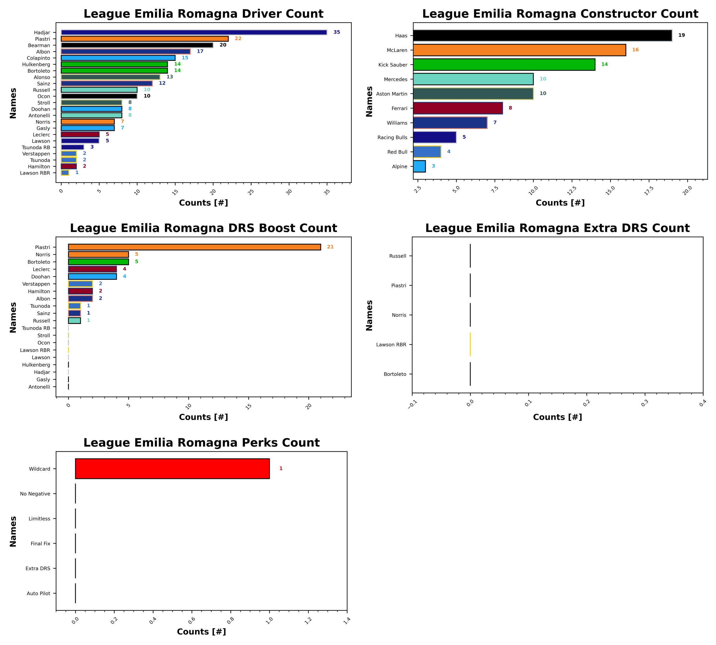
Hadjar continues to be the most popular driver this week, appearing 35 times up the grid. Oscar Piastri is next with 22, ahead of Bearman with 20, Albon with 17, and Colapinto on debut in 2025 makes 15 selections. Hamilton, Tsunoda, and race winner Verstappen only make 2 appearances this week. Lawson and Leclerc only 5, behind Norris and Gasly with 7 a piece in third. Then it’s Antonelli and Stroll with 8 selections, with Russell and Ocon rounding out the bottom five with 10 selections.
Haas have dethroned McLaren this week with 19 selections, the woking outfit now in second with 16 ahead of Kick Sauber with 14. Alpine are the least chosen team with only 3, behind Red Bull with 4 and Racing Bulls with 5.
Oscar Piastri now appears as a DRS boost 21 times, ahead of Norris and Bortoleto with 5 selections. Leclerc and somehow Doohan make 4 DRS selections each. We only had 1 wildcard token this week.

Prizes
I have now updated the prizes plotting for my code and we should be able to track the season long prizes with ease. So without further adieu, let’s take a look at what is currently in play this season.
Championship
| Prize Name | Prize Value | Terms |
|---|---|---|
| (%) | ||
| Champion of the World | 20 | Awarded to the top scorer in the league at the end of the season |
| If You’re Not First, You’re Last | 10 | Awarded to the second place scorer in the league at the end of the season |
| Alpine Podium | 5 | Awarded to the third place scorer in the league at the end of the season |
| Above Par | 20 | Awarded to the lowest scorer in the league at the end of the season, commonly referred to as the Golf League |
Achievements
| Prize Name | Prize Value | Terms |
|---|---|---|
| (%) | ||
| Cost Cappen | 5 | Highest average points per value at the end of the season |
| Sprint King | 5 | Highest score across the sprint races (China, Miami, Belgium, United States, Brazil, Qatar) |
| Flavio Controls Every Millimeter | 5 | Manager wide substitution count, highest wins |
| The Triple Header | 5 | Highest score across the triple header races (Japan, Bahrain, Saudi Arabia, Emilia Romagna, Monaco, Spain, Las Vegas, Qatar, Abu Dhabi) |
| I Forgot I Was Taking Part | 5 | Highest score in the first part of the season |
| Zak’s Master Plan | 5 | Lowest score in the second half of the season |
| Mega Driver | 5 | Highest Extra DRS token score |
| The Continental | 5 | Highest score across all 5 continents, Mexico classed as South America for inclusion only (Australia, Canada, Great Britain, Azerbaijan, Mexico) |
Spot Prizes
| Prize Name | Prize Value | Terms |
|---|---|---|
| (%) | ||
| The Ring | 1 | Highest score at the Austrian Grand Prix |
| Bottas Bowling | 1 | Highest score at the Hungarian Grand Prix |
| Daniel’s Broken Hand | 1 | Lowest score at the Netherlands Grand Prix |
| The Tifosi | 1 | Lowest score at the Italian Grand Prix |
| Go For The Gap | 1 | Lowest score at the Singapore Grand Prix |
Spot Prizes
We haven’t had a spot prize yet, I will post about it when we have one!
Cost Cappen
Holding onto the lead this week is Alfie, who takes a points per value of 2.2 ppm with I Call Patrick Subaru, ahead of Sebastian with Bridgestone Toro Rosso F1 with 2.19, and Josh with Expensify APX GP with 2.08 ppm. This competition will run all year, but it’s nice to keep a track of it.

Flavio Controls Every Millimeter
Leading the substitutions award at the moment is Stuart with Murder On Zidane’s Floor with 21 subs so far, ahead of Stefanus with Syahrul on 19 and Josh with Expensify APX GP ties for second, and Stuart is in third with their teams Andres Inyasista with 18. None of these teams have been hit with penalties yet.

Mega Driver
Check back later!
Sprint King
No Change. Josh is in the lead with their other team Expensify APX GP, with 622 points. They’re ahead of Sebastian and BWT Racing Point F1 who have 555 points. In third place it’s Stefanus and Syahrul with 545 points.

The Continental
More To Come.

The Triple Header
Alfie leads the way with Corona Wing Corn and 955 points, and their second team I Call Patrick Subaru is close behind with 922. Stefanus rounds out the top three with Haryanto and 812 points.

I Forgot I Was Taking Part
Similarly, I Forgot I Was Taking Part will match up with the current championship standings.

Zak’s Master Plan
Check back after the season break!
F1 Predict
Phil took the top step this week with 104 points (70%), tied with Stuart who also matched the 70%. Val is in second with 77 points (67%), with Pierce, Josh, and Matty all scoring 0.
Stuart takes the lead with 413 points (53%), ahead of Phil with 367 points (47%). Josh is in third with 327 points (27%), ahead of Val in fourth with 272 points (45%). Pierce is in fifth with 248 points (45%), and Matty rounds out the grid with 95 points (43%).
Next Up
Next up, it’s the Jewel of the crown, Monaco. Back-to-back-to-back on the Riviera triple header. Best of luck to you all.
