Fantasy League Scores
Scores for drivers/constructors in the current year’s fantasy league, along with manager/team points, values, and statistics. Note: driver and constructor values are taken as the cost to enter the current race and are updated the week before the race.
Lineup Scores
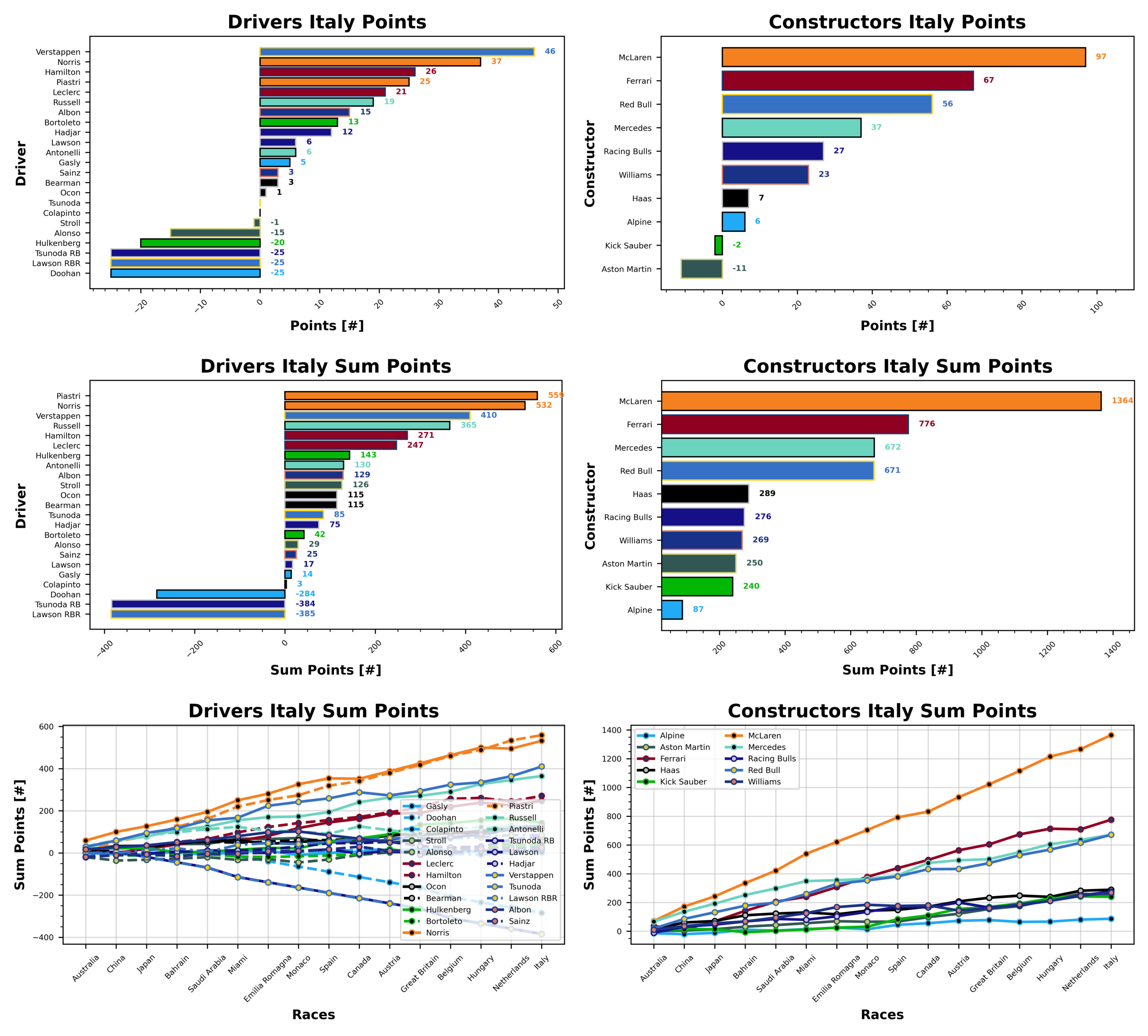
Max Verstappen storms to a phenomenal, and surprising, victory this week with 46 points. He’s a full 9 points clear of the nearest McLaren in second in the form of Lando Norris. The pair are followed by Lewis Hamilton in third with 26, then Oscar Piastri with 25, and Charles Leclerc with 21. Nico Hulkenberg is down at the bottom this week, having not started the race, coming back from Italy with -20 points. He’s joined by Fernando Alonso whose suspension failure cost him 15 points, behind teammate Stroll with -1. Tsunoda and Ocon come back with a 0s, and Oli Bearman rounds out the bottom five with 1 point.
McLaren take another weekly top score, with 97 points this week. It’s Ferrari in second with 67 ahead of Red Bull with 56 points. Aston Martin suffer a loss at the bottom of the table with -11, behind the recently-flawless Kick Sauber with -2. Alpine just make it into the bottom three with 6 points.
Oscar Piastri holds onto his championship lead for another week with 559 points to Lando’s 532. Max claws back some of the gap this week in third with 410 points. Russell is a comfortable fourth with 365 points, and Hamilton maintains his advantage in the Ferrari stable with 271 points in fifth. Franco Colapinto sits at the bottom of the table with 3 points, behind teammate Gasly with 14. Liam Lawson is just ahead with 17 points, followed by Sainz with 25 and Alonso with 29.
McLaren are far clear at the top of the table with 1364 points, with Ferrari a distant second with 776 points. Mercedes edge out Red Bull by 1 point this week to take third with 672. Alpine sit at the bottom of the table with 87 points, behind Kick Sauber with 240 and Aston Martin with 250.

Lando Norris’ value takes a dive this week, dropping down to 31.3, with Verstappen at 28.1 in second. Piastri is next, increasing to 26.7, followed by Leclerc and Hamilton at 23.6 and 23.5. Good chance to grab yourself a bargain. Colapinto sits at the bottom at 4.5, behind teammate Gasly at 4.8. Bortoleto, Hadjar, and Lawson are next at 5.1, followed by Sainz at 5.7. Bearman rounds out the cheap 5 at 7.3.
McLaren lead the way at 34.5, with Ferrari and Red Bull costing you 30.4 and 28.7, respectively. Alpine are your cheapest option at 7.7, followed by Kick Sauber at 9.9 and Racing Bulls at 11.8.
All values are in Million Dollars.
Russell and Piastri maintain their 100% record, ahead of Verstappen and Ocon who have dropped only 1. Norris and Hamilton are your third most consistent with 87.5% positive scoring. Colapinto is your least consistent driver so far with 31.25% positive scores. Gasly, Lawson, and Tsunoda are ahead with just over half of their races scored positively. Bortoleto is next with 62.5% positive scoring.
Red Bull, Mercedes, and McLaren maintain their 100% record this season, with Alpine down at the bottom with 68.75%. Racing Bulls are next with 75% positive scoring, followed by Kick Sauber with 81.25%.

Colapinto remains your most reliable driver of the season, with a standard deviation from his average score of 6.28 points. Ocon, Sainz, Lawson, and Tsunoda are the remaining consistent drivers of the top five. Your least consistent driver of the season is rookie Kimi Antonelli, with a standard deviation of 17.27 points. Alpine are your most consistent team of the season with a standard deviation of 12.45 points, they’re followed by Aston Martin and Haas. Your least consistent team is Ferrari with a standard deviation of 26.81 points.

Your driver of the week this week was Gabriel Bortoleto with a points per value of 2.55 ppm. He’s joined at the top by last week’s winner Isack Hadjar with 2.35 ppm. Race winner Max is next with 1.64 ppm, followed by Albon and Norris with 1.27 ppm and 1.18 ppm. Nico Hulkenberg was your worst driver of the week with -20.4 ppm, followed by Alonso with -1.85 ppm and Stroll with -0.1 ppm. Tsunoda and Ocon bring back a 0 ppm, with Antonelli next with 0.11 ppm.
McLaren top the standings this week with a 2.81 ppm, ahead of Racing Bulls with 2.29 ppm and Ferrari with 2.2 ppm. Aston Martin were your worst team of the week with -0.92 ppm, behind Kick Sauber with -0.2 ppm and Haas with 0.56 ppm.
ppm = points per million Dollars.

Manager Scores
Patrick makes a return to the top step this week with You Hadjar Chance Racing scoring 250 points. Stefanus and Syahrul make it to second with 224 ahead of a double appearance by Madlen with Wet Tyres Are Blue and Push, Push - Box Now Too scoring 204 and 194 points, respectively. Alfie and Corona Wing Corn tie for fourth place with 194 points, and Josh rounds out the top five with Expensify APX GP with 184 points.
Valerie takes a double finish in the Golf League this week with Stroll To The 18th and What Arrrgh Ya Doohan taking the top two place with -49 and -38 points, respectively. A good return to form for James and Bwoah Schweppes Puma Golf in third place with -31 points. Championship Leader Stuart and Taylormade to Lose next with -15 points, followed by Valeria and Perez For World Champion with -14 points to round out the bottom five.

Stefanus and Syahrul hold on to the top step for another week with 3532 points, but Patrick and You Hadjar Chance Racing jump up to second with 3321 points. Sebastian and Bridgestone Toro Rosso F1 are in third with 3280, and Stefanus rounds out the top five with Gelael and Haryanto with 3214 and 3206 points, respectively.
Stuart and Taylormade To Lose hold on to the Golf League with 5 points, followed by Valerie’s stable of teams with Perez For World Champion, What Arrrgh Ya Doohan, and Stroll to the 18th with 147, 198, and 277 points each. James and Bwoah Schweppes Puma Golf are in fourth place with 325, and Alfie rounds out the bottom five with Cucumberpotatolamborghini with 417 points.
Bigger winner this week is Madlen and Push, Push - Box Now Too who jump up 4 places in the standings. Bigger loser is Sebastian with BWT Racing Point F1 who drop 3 places.

After a successful Dutch Grand Prix, Isack Hadjar makes a few more appearances in your teams this week, with 31 selections (up 4 from last week). Oscar Piastri is second-most selected with 23, followed by Sainz/Hulkenberg with 19. Fernando Alonso next with 18 selections, followed by Lawson and Bearman who make 12 a piece. The Red Bull drivers are your least selected this week with only 2 appearances from Verstappen and Tsunoda across the grid. Antonelli and Hamilton next with only 3 selections, followed by Stroll with 6. Russell next up with 7 selections, followed by Norris and Leclerc with 9.
McLaren are your most selected team this week, with 20 selections across the field. Kick Sauber next with 15 selections, and Haas round out the top three with 12. Mercedes are your least selected team with only 2, followed by Red Bull with 5, and Alpine with 6.
Oscar Piastri stays ahead at the DRS Boost selection with 23 of you choosing the championship leader, followed by Doohan with 5. No Extra DRS tokens this week, but 3 Wildcards were used.
Please note, teams are only checked if their weekly scores do not match a copy-paste team sheet. Teams are checked at the end of the season to ensure accurate statistics.

Prizes
I have now updated the prizes plotting for my code and we should be able to track the season long prizes with ease. So without further adieu, let’s take a look at what is currently in play this season.
Championship
| Prize Name | Prize Value | Terms |
|---|---|---|
| (%) | ||
| Champion of the World | 20 | Awarded to the top scorer in the league at the end of the season |
| If You’re Not First, You’re Last | 10 | Awarded to the second place scorer in the league at the end of the season |
| Alpine Podium | 5 | Awarded to the third place scorer in the league at the end of the season |
| Above Par | 20 | Awarded to the lowest scorer in the league at the end of the season, commonly referred to as the Golf League |
Achievements
| Prize Name | Prize Value | Terms |
|---|---|---|
| (%) | ||
| Cost Cappen | 5 | Highest average points per value at the end of the season |
| Sprint King | 5 | Highest score across the sprint races (China, Miami, Belgium, United States, Brazil, Qatar) |
| Flavio Controls Every Millimeter | 5 | Manager wide substitution count, highest wins |
| The Triple Header | 5 | Highest score across the triple header races (Japan, Bahrain, Saudi Arabia, Emilia Romagna, Monaco, Spain, Las Vegas, Qatar, Abu Dhabi) |
| I Forgot I Was Taking Part | 5 | Highest score in the first part of the season |
| Zak’s Master Plan | 5 | Lowest score in the second half of the season |
| Mega Driver | 5 | Highest Extra DRS token score |
| The Continental | 5 | Highest score across all 5 continents, Mexico classed as South America for inclusion only (Australia, Canada, Great Britain, Azerbaijan, Mexico) |
Spot Prizes
| Prize Name | Prize Value | Terms |
|---|---|---|
| (%) | ||
| The Ring | 1 | Highest score at the Austrian Grand Prix |
| Bottas Bowling | 1 | Highest score at the Hungarian Grand Prix |
| Daniel’s Broken Hand | 1 | Lowest score at the Netherlands Grand Prix |
| The Tifosi | 1 | Lowest score at the Italian Grand Prix |
| Go For The Gap | 1 | Lowest score at the Singapore Grand Prix |
We have developed another problem with the spot prizes this week and I will be using the summer break to fix this issue, please excuse this. It’s difficult to scan through the data in the form I keep it, and occasionally things go wrong like this.
Spot Prizes
Italy was a spot prize weekend for the lowest score. The Prize “The Tifosi” goes to Valerie and Stroll to the 18th who came back from the weekend with -49 points.
Cost Cappen
Patrick and You Hadjar Chance Racing are currently leading the Cost Cappen prize with 2.038 ppm, ahead of Stefanus and Syahrul who have 2.037 ppm. Sebastian and Bridgestone Toro Rosso F1 are in third with 1.986 ppm.
Flavio Controls Every Millimeter
Stefanus and Haryanto/Gelael lead the way at the moment with 38 substitutes, ahead of Josh and Kingfisher Force India F1/Expensify APX GP who have 35. Sebastian and BWT Racing Point F1 are in third with 33 subs.
Mega Driver
Check back later!
Sprint King
The Continental
Baku this week is part of this prize, so check back after the weekend for more!
The Triple Header
I Forgot I Was Taking Part
I Forgot I Was Taking Part comes to a close, with Stefanus and Syahrul taking the top step with 3128 points. Haryanto is in second with 2924 points, and Sebastian and Bridgestone Toro Rosso F1 rounds out the podium with 2874 points.
Zak’s Master Plan
Patrick and You Hadjar Chance Racing lead the way in Zak’s Master Plan with 485 points, ahead of Alfie and I Call Patrick Subaru with 443. Josh and Expensify APX GP are in third with 432 points.
F1 Predict
Phil took the victory this week with 82 points (40%), ahead of Stuart with 66 points (50%). Josh took third place, just 1 point back with 65 (50%), and Valeria in fourth with 55 points (40%). The other two scored 0.
Phil holds onto the lead with 957 points (46%), ahead of Stuart with 932 points (47%). Val is in third with 745 points (45%), with Josh in fourth with 717 points (34%). Pierce is in fifth with 248 points (45%), and Matty last with 95 points (43%).
Next Up
Next up, Azerbaijan. A fast-paced street circuit as we move into the fly-away portion of the season. McLaren can seal the championship this weekend, but will they?
