Fantasy League Scores
Scores for drivers/constructors in the current year’s fantasy league, along with manager/team points, values, and statistics. Note: driver and constructor values are taken as the cost to enter the current race and are updated the week before the race.
Lineup Scores
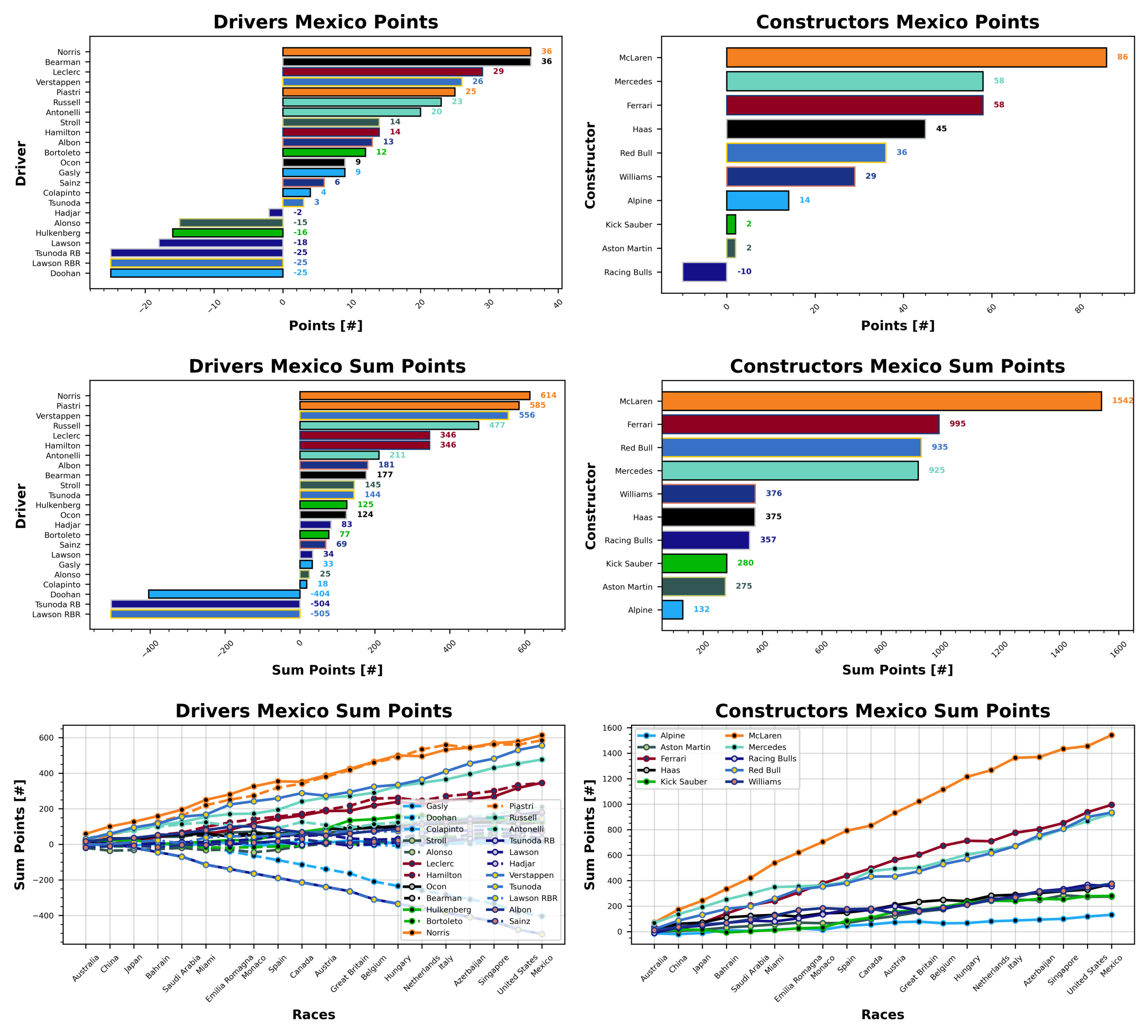
Lando Norris reemerges as a championship hopeful at the top of the weekly standings in Mexico, joined by superstar rookie Oliver Bearman with 36 points. Charles Leclerc secures second place with 29 points, ahead of Max Verstappen with 26. Oscar Piastri comes home in fourth place with 25 and Russell rounds out the top five with 23 points. A shocking weekend for Lawson concludes with -18 points at the bottom of the table, behind Nico Hulkenberg and Fernando Alonso with -16 and -15, each. Isaac Hadjar joins them at the lower end with -2 points, and Yuki Tsunoda rounds out the bottom five with only 3 points.
McLaren are back at the top of the weekly table with 86 points, followed by a tie between Mercedes and Ferrari with 58 points. Haas make the podium with 45 points. Racing Bulls are at the bottom of the table with -10 points, behind Kick Sauber and Aston Martin who tie for second with 2 points. Alpine round out the bottom three with 14 points.
Lando Norris extends his lead at the top of the championship standings with 614 points ahead of teammate Piastri in second with 585 points. Max Verstappen is hot on their heels in third, now just 29 points behind with 556. George Russell is a comfortable fourth place with 477, followed by the Ferrari boys with 346 points each. Franco Colapinto holds on to his grip at the bottom of the standings with 18 points, just behind Fernando Alonso with 25 points. Pierre Gasly is in third with 33 points, just 1 behind Liam Lawson with 34. Carlos Sainz rounds out the bottom five with 69 points.
McLaren are basically unbeatable at the top of the championship standings with 1542 points, but their gradient of points has severely reduced lately. Ferrari are holding on to second place, just, with 995 points as Red Bull battle for third place with 935 points. Alpine are at the bottom of the table with 132 points, behind a close fight between Aston Martin and Kick Sauber with 275 and 280 points.

Norris’ value continues to decrease this week, the Brit setting you back 30.5. Verstappen next, who continues to increase with 29.1, and Piastri with 26.3. Russell jumps up the order with 23.3. Leclerc takes an increase to 23.0. Colapinto and Gasly down at the cheap end at 4.7, followed by Alonso (6.1), Hadjar (6.5), Bortoleto (6.7), and Sainz (6.9).
McLaren’s value takes a dip this week, the Woking team now costing you 35.3, ahead of Ferrari at 31.2 and Red Bull at 29.9. Alpine are the cheapest team at 8.5, behind Kick Sauber at 10.7, and Aston Martin at 11.9.
All values are in Million Dollars.
George Russell continues his 100% record this week, with Verstappen distancing himself from the pack with 95%. He’s followed by Piastri, Ocon, Norris, and Hamilton at 90%. Colapinto sits at the bottom with a 45% record, behind Alonso and Lawson at 60%. They’re followed by Tsunoda, Gasly, and Bortoleto at 65%.
Red Bull, Mercedes, and McLaren continue their 100% record, ahead of Williams, Haas, and Ferrari at 90%. Alpine and Racing Bulls are at the bottom with 75% positive scoring, behind Kick Sauber and Aston Martin at 80%.

Colapinto remains your most reliable driver of the season, with a standard deviation from his average score of 5.87 points. Ocon, Gasly, Russell, and Stroll are the remaining consistent drivers. Your least consistent is Oscar Piastri, with a standard deviation of 17.16 points. He’s followed by Antonelli, Norris, Hulkenberg, Verstappen and Leclerc. Alpine are your most consistent team with a standard deviation of 11.59 points, followed by Haas and Aston Martin. McLaren are your least consistent team with a standard deviation of 27.4, followed by Ferrari and Mercedes.

Driver of the week could be none other than Oliver Bearman who comes home with a points per value of 4.68 ppm. Pierre Gasly secures second place with 1.91 ppm, ahead of Bortoleto with 1.79 ppm. Lance Stroll finds himself in fourth place with 1.61 ppm, ahead of Charles Leclerc with 1.26 ppm. Liam Lawson was your worst driver of the week in Mexico with -2.54 ppm, behind Fernando Alonso with -2.46 ppm. Nico Hulkenberg is next with -2.16 ppm, followed by Hadjar with -0.31 ppm. Yuki Tsunoda rounds out the bottom five with 0.29 ppm.
Haas are your team of the week with 3.41 ppm, ahead of McLaren in second with 2.44 ppm, and Mercedes in third with 2.13 ppm. Racing Bulls were your worst team of the week with -0.7 ppm, behind Aston Martin and Kick Sauber with 0.17 ppm and 0.19 ppm, respectively.
ppm = points per million Dollars.

Manager Scores
Stefanus and Syahrul take the honours this week with a score of 236 points. Patrick and You Hadjar Chance Racing are in second with 199 points, ahead of Madlen and Soft Tyres Are Red with 187 points. Jake is in fourth place with I Am Stupid Rookie with 184 points. Josh and James tie for fifth place with Kingfisher Force India F1 and Bwoah OnlyFans McD Racing with 179 points.
James takes a back-to-back victory in the golf league this week with Bwoah Schweppes Puma Golf coming home with -45 points. Stuart and Taylormade To Lose come home in second with -27 points. Valerie is in third place with Stroll to the 18th scoring 0 points, behind Pete and Seagiant F1 Online with 4 points. Alfie rounds out the bottom five with Cucumberpotatolamborghini with 16 points.

As we approach the final four races, there’s a clear fight for the top step this year between a handful of teams. Currently Stefanus and Syahrul are holding on at the top with 4089 points ahead of Patrick and You Hadjar Chance Racing with 3961. Phil is in third place with BMW FTW with 3832 points, ahead of Stefanus and Haryanto with 3754. Sebastian and Bridgestone Toro Rosso F1 are in fifth place with 3693.
Stuart and Taylormade To Lose seem ot have the Golf League wrapped up with -64 points, ahead of Valerie and Perez for World Champion with 170 points. Valerie’s second team, What Arrrgh Ya Doohan are in third place with 185 points, but James and Bwoah Schweppes Puma Golf are making moves in fourth place with 219 points. Valerie and Stroll To The 18th round out the bottom five with 236 points.
Biggest winner this week was Madlen and Soft Tyres Are Red, who jump 3 places in the standings. Biggest losers of the week are Sebastian and BWT Racing Point F1 and Val with Its Odinge, who both drop 2 places.

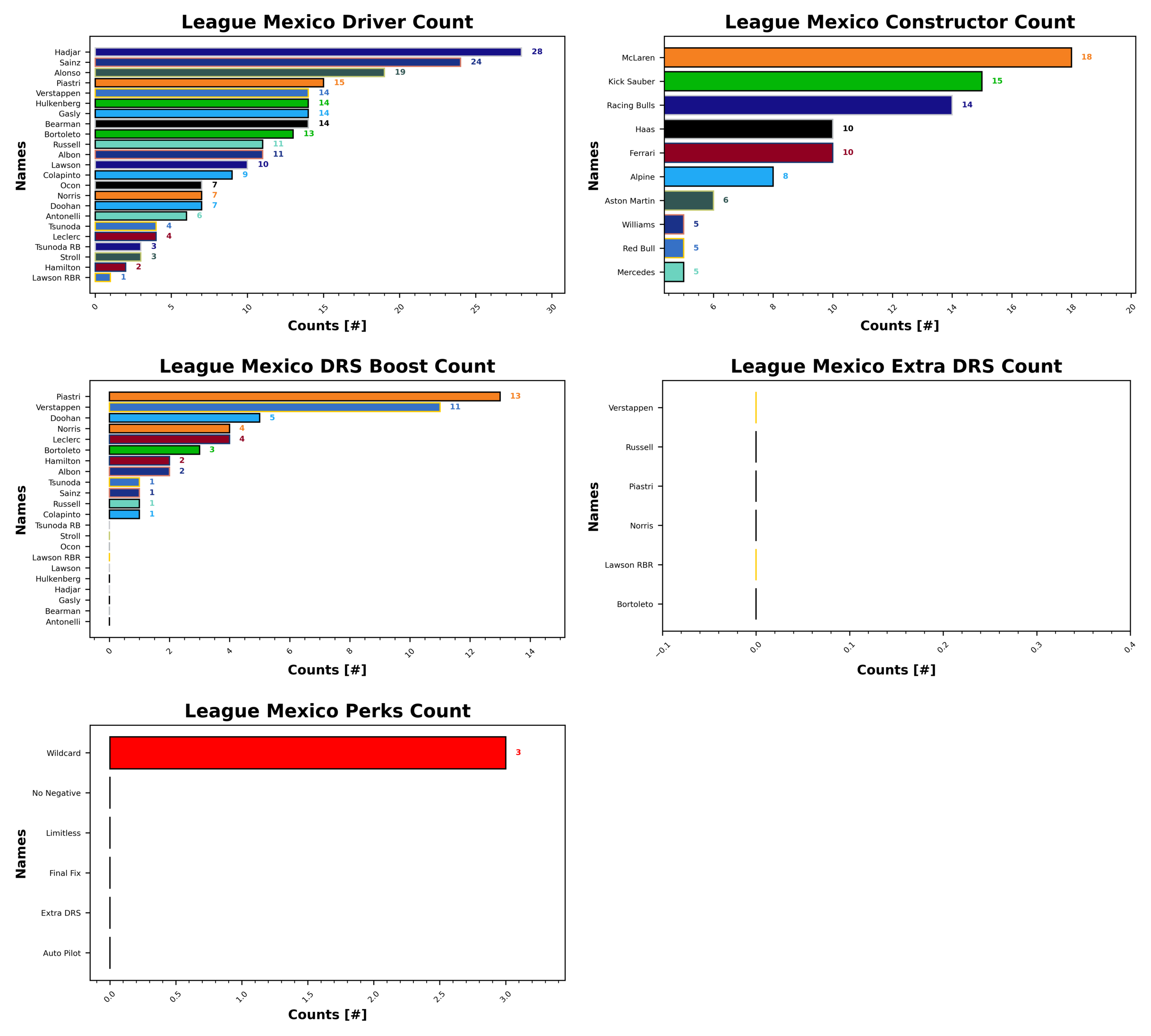
Isack Hadjar remains the most popular driver token on the grid with 28 selections in Mexico. Carlos Sainz joins him at the top with 24 selections, ahead of Fernando Alonso with 19. Oscar Piastri is next with 15 selections, followed by Verstappen, Hulkenberg, Gasly, and Bearman who make 14 selections each. Lewis Hamilton is your least selected driver with only 2 of you staying loyal. Lance Stroll next with 3 selections, followed by Leclerc and Tsunoda with 4. Antonelli is in fourth with 6 selections, followed by Norris and Ocon with 7.
McLaren are by far the most used constructor of the week with 18 selections. Kick Sauber are in second with 15, and Racing Bulls next with 14. Mercedes, Red Bull, and Williams make it five selections each, behind Aston Martin with 6. Alpine round out the bottom three with 8 selections.
Oscar Piastri remains the most boosted driver with 13 selections, ahead of Verstappen with 11. Jack Doohan is in third with 5 DRS boosts. There were very few tokens used this week, with only 3 Wildcard tokens used as we approach the final few races.
Please note, teams are only checked if their weekly scores do not match a copy-paste team sheet. Teams are checked at the end of the season to ensure accurate statistics.

Prizes
Championship
| Prize Name | Prize Value | Terms |
|---|---|---|
| (%) | ||
| Champion of the World | 20 | Awarded to the top scorer in the league at the end of the season |
| If You’re Not First, You’re Last | 10 | Awarded to the second place scorer in the league at the end of the season |
| Alpine Podium | 5 | Awarded to the third place scorer in the league at the end of the season |
| Above Par | 20 | Awarded to the lowest scorer in the league at the end of the season, commonly referred to as the Golf League |
Achievements
| Prize Name | Prize Value | Terms |
|---|---|---|
| (%) | ||
| Cost Cappen | 5 | Highest average points per value at the end of the season |
| Sprint King | 5 | Highest score across the sprint races (China, Miami, Belgium, United States, Brazil, Qatar) |
| Flavio Controls Every Millimeter | 5 | Manager wide substitution count, highest wins |
| The Triple Header | 5 | Highest score across the triple header races (Japan, Bahrain, Saudi Arabia, Emilia Romagna, Monaco, Spain, Las Vegas, Qatar, Abu Dhabi) |
| I Forgot I Was Taking Part | 5 | Highest score in the first part of the season |
| Zak’s Master Plan | 5 | Lowest score in the second half of the season |
| Mega Driver | 5 | Highest Extra DRS token score |
| The Continental | 5 | Highest score across all 5 continents, Mexico classed as South America for inclusion only (Australia, Canada, Great Britain, Azerbaijan, Mexico) |
Spot Prizes
| Prize Name | Prize Value | Terms |
|---|---|---|
| (%) | ||
| The Ring | 1 | Highest score at the Austrian Grand Prix |
| Bottas Bowling | 1 | Highest score at the Hungarian Grand Prix |
| Daniel’s Broken Hand | 1 | Lowest score at the Netherlands Grand Prix |
| The Tifosi | 1 | Lowest score at the Italian Grand Prix |
| Go For The Gap | 1 | Lowest score at the Singapore Grand Prix |
Spot Prizes
Singapore was a spot prize week for the lowest score, and the prize goes to Stuart with Taylormade To Lose, who score -41 points.
Cost Cappen
Patrick and You Hadjar Chance Racing are leading the way with 1.902 ppm. Stefanus and Syahrul are in second with 1.848 ppm, ahead of Phil and BMW FTW with 1.837 ppm.
Flavio Controls Every Millimeter
Stefanus and Haryanto lead the way with 45 subs, tied with their other team Gelael and Sebastian with BWT Racing Point. Josh and Expensify APX GP are in second with 43, and Josh and Kingfisher Force India F1 round out the top three with 42 substitutes.
Mega Driver
Check back later!
Sprint King
United States was a Sprint Race so we have an update to the Sprint King standings. Josh and HSBC Jaguar Racing lead the way with 1094 points, ahead of Stefanus and Haryanto with 1004. Josh and Kingfisher Force India F1 are in third with 1001 points.
The Continental
Finn currently leads the way with Ro@d R@ge sitting on 617 points. Sebastian is in second with Bridgestone Toro Rosso F1 and 599 points. Jake and Kick Sauber in the Audi are in third with 576 points.
The Triple Header
Stefanus occupies all three of the top spots with Gelael, Syahrul, and Haryanto with 1343, 1255, and 1218 points.
I Forgot I Was Taking Part
I Forgot I Was Taking Part comes to a close, with Stefanus and Syahrul taking the top step with 3128 points. Haryanto is in second with 2924 points, and Sebastian and Bridgestone Toro Rosso F1 rounds out the podium with 2874 points.
Zak’s Master Plan
Patrick and You Hadjar Chance Racing take the lead in the second half of the season with 1125 points, ahead of Sam and Total F1 Performance with 1079. Finn and Ro@d R@ge round out the top three with 1036 points.
F1 Predict
Val takes the victory this week with 127 points scored. Stuart is in second with 101 points, followed by Josh with 81 points. Phil comes home in fourth place with 72. Pierce and Matty score 0 this week.
Phil holds on to the lead with 1226 points, ahead of Stuart in second with 1126. Val moves up to third place with 1018 points, ahead of Josh in fourth with 1004 points. Pierce stays on 248, ahead of Matty with 95 points.
Next Up
Next up, Brazil. The penultimate American-continent race of the season and one of the best circuits on the calendar. It’s a sprint weekend and it’s due to be raining for all the sessions. It could get really interesting. Best of luck to you all.
