Below are the links to the news stories heading into the Monaco Grand Prix weekend.
Fantasy League Scores
Scores for drivers/constructors in the current year’s fantasy league, along with manager/team points, values, and statistics. Note: driver and constructor values are taken as the cost to enter the current race and are updated the week before the race.
Lineup Scores
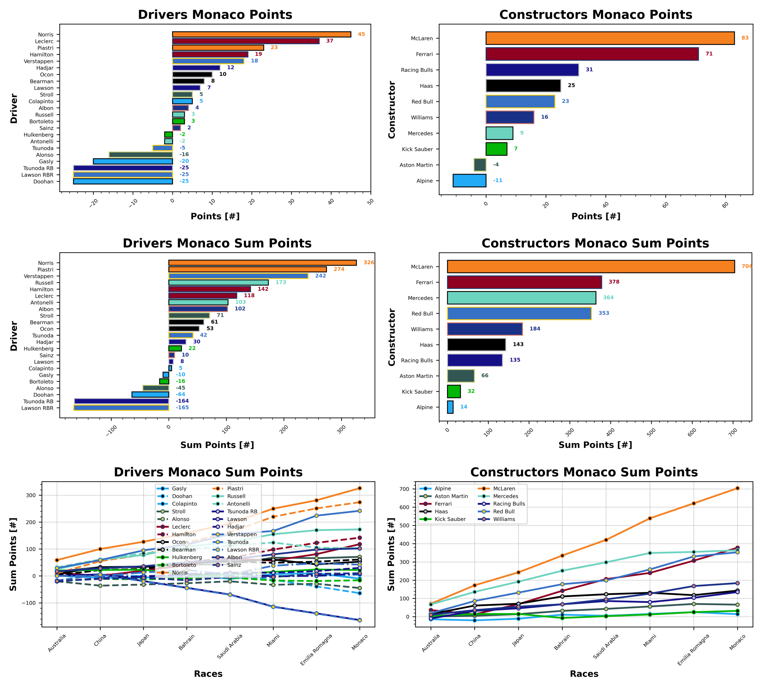
Norris storms to his first victory on the streets of Monaco and tops the standings this week with an impressive 45 points ahead of second-place man Charles Leclerc who brings in 37. Oscar Piastri is a distant third with 23 points, and Lewis Hamilton breaks the streak of finishing position in real life = finishing position in the fantasy league, he brings home 19 points to finish fourth. Just one point behind his old rival, Max Verstappen rounds out the top five with 18 points. Gasly smashes his Alpine in the race and smashes the good progress he’s been making lately, he comes away from Monaco with a -20 points tally, closely followed by Alonso, who is having a terrible season, he finishes this week with -16 points. Yuki Tsunoda secures a -5 points behind Antonelli and Hulkenberg with -2. Carlos Sainz rounds out the bottom five with a pair of points.
No surprise really that McLaren come away from another race weekend at the top of the table, they bag 83 points this week ahead of Ferrari with 71. Racing Bulls pull of a master strategy to secure third this week with 31 points. Alpine are the worst scorers of the week, suffering an 11 point loss, behind Aston Martin who break their streak and suffer -4 points. Kick Sauber round out the worst three teams with 7 points.
So Lando stretches his legs at the top of the standings a little this week, he now sits on 326 points ahead of teammate Oscar Piastri with 274. Max Verstappen is still keeping them honest though, the Dutchman sits in third with 242 points. George Russell is in fourth with 173 points, though his progress has really tailed off lately. Lewis Hamilton holds on to fifth with 142 points, but his teammate has made some serious progress this week. Fernando Alonso continues his servitude at the bottom of the table, dropping further this week into the negative, the 2-time champ now sits on -45 points. Bortoleto is slowly working his way into the black with -16 points, and Gasly tumbles down the order to third with -10 points. Colapinto is in fourth with 5 points, and Liam Lawson rounds out the bottom five with 8.
McLaren stretch away at the top of the table, the Woking team now holding onto 704 points, almost double that of their nearest rivals. Ferrari displace Mercedes for second place this week, the Scuderia now sitting on 378 points, and the former champions have 364 points. Alpine are down at the bottom of the table with 14 points, with Kick Sauber in second with 32, and Aston Martin round out the bottom three with 66 points.

Lando’s value increases again up to 30.7, ahead of reigning champion Verstappen who sits at 29.1. Oscar Piastri increases in value to 24.3, and despite a reasonable Imola, Charles Leclerc decreases down to 24.0. Lewis Hamilton rounds out the top five at 23.7. Bortoleto and Colapinto were your cheapest options this week, both at 4.5. Alonso and Hadjar are next at 5.0 and 5.3, respectively. Followed by Lawson and Hulkenberg at 5.4 and 6.2. McLaren’s value continues to rise, up to a staggering 32.1 now, followed by Ferrari and Red Bull at 28.2 and 26.9, respectively. Kick Sauber have increased in value to 5.1, behind Alpine at 7.7 and Aston Martin at 9.5.
All values are in Million Dollars.
Perhaps still a little unfairly, Franco Colapinto is still the worst driver of the season, scoring positively the least, though this is an artifact of my code, because actually he’s not yet scored negatively, it’s just that he missed a bunch of races. We now only really have five drivers who are holding the fort for positive scoring: Verstappen, Russell, Piastri, Norris, and Albon continue their streak. As for the constructors, it’s still Alpine who are by far the worst, only scoring positively 50% of the time. With a sudden drop in performance for Aston Martin, it’s now only Williams, Red Bull, Mercedes, and McLaren who are likely to score you positively.
With that in mind, Alex Albon and Williams still present your statistical greatest of the season tokens, since they are always positive and have such low variation in the points that they score. By contrast, Charles Leclerc and Kimi Antonelli are your least consistent drivers, and Ferrari are by far the least consistent team of the season so far.

Alex Albon continues to be really the driver of the season, with such a high consistency and an average of 12.75, he has thrust himself up amongst the names at the top of the table. He’s well within the average points of the Ferrari and Mercedes drivers, and is far less likely to score negatively in any of the races. Again, you can’t argue with Williams, yes McLaren are currently topping the points tally, and the average points table, and they too also have 100% positive record, but Williams are guaranteed, predictable points for your team’s finances.

So who gets Driver of the Week this week? Well it has to be Isack Hadjar, even just for the faultless race, well executed strategy, great qualifying performance, and the fact that he has topped the Ahead at the Apex Fantasy League Points per Value tables - duh. The rookie brings home 2.26 ppm this week ahead of Ferrari’s Charles Leclerc with 1.54 ppm. Race winner Norris is in third with 1.47 ppm, ahead of Liam Lawson with 1.3 ppm (a good weekend of RB). Esteban Ocon bounces back after a disappointing Imola with 1.15 ppm.
Team of the week, this week, goes to Racing Bulls. Pulling off the strategy chaos they did, has secured them 2.92 ppm ahead of McLaren and Ferrari with 2.59 ppm and 2.52 ppm, respectively. Another disappointing weekend for Alpine, who come home with -1.43 ppm, behind Aston Martin with -0.42 ppm. Mercedes, after a shocking weekend, round out the bottom three with 0.37 ppm.
ppm = points per million Dollars.

Manager Scores
An absolutely stunning victory this week for Stefanus and Gelael, who utilise a limitless token to take 333 points away from the weekend. Stefanus wasn’t quite done there though, as they also take second with Syahrul and 218 points. A wild appearance from Pete in the top five, with the aptly named Monaco Barrier Testers coming in in third place with 208 points. Then we have Patrick and You Hadjar Chance Racing with 193 points, ahead of Madlen and Soft Tyres Are red with 183.
Stuart takes the honours this week in the Golf League with Taylormade To Lose coming home with -59 points. Another second place for Pete and Seagiant F1 Online with -36 points. A trio of -34 points for Valerie and Perez For World Champion, Stroll To The 18th, and What Arrrgh Ya Doohan. In fourth place it’s James and Bwoah Schweppes Puma Golf with 13 points. Alfie rounds out the bottom five with cucumberpotatolamborghini with 23 points.
Unsurprisingly, Stefanus was our manager of the week this week with 240 points across their teams. Jake made it to second with 161.6 points, and Sebastian was in third with 153. Valerie was our worst manager of the week this week, with a perfect trio of -34 resulting in -34 points average. Finn goes from top manager to second worst in a week, with 57 points. Stuart rounds out the bottom three with 57.33 points.

Sebastian retakes the lead with a strong Monaco performance this week, their team Bridgestone Toro Rosso F1 sits at the top with 1687 points. Alfie drops down to second place with I Call Patrick Subaru, now sitting on 1669 points. Stefanus and Syahrul leap up to third place with 1633, ahead of their other team Haryanto with 1615 points. Josh rounds out the top five with Expensify APX GP and 1579.
Alfie does manage to hold on to the lead of the Golf League with Cucumberpotatolamborghini, with 39 points. A strong week for Stuart sees their team Taylormade To Lose close the gap, with 54 points. Valerie is in third and fourth with What Arrrgh Ya Doohan and Perez For World Champion sitting on 109 and 136 points, respectively. James rounds out the bottom five with Bwoah Schweppes Puma Golf and 170 points.
Our biggest winner this week was Stefanus and Gelael who jump a whopping 10 places up the order. Pete and Monaco Barrier Testers jump 4 places, and a trio of teams from Patrick, Madlen, and Sebastian jump up 3 places. Our biggest loser is Sam, with Gran Prix Princesses F1 losing 7 places. Stuart and Finn, with their teams Murder On Zidane’s Floor and Ro@d R@ge losing 4 places.
Stefanus holds on to the lead in the average manager points for the season, sitting on 1577.67, ahead of Sebastian with 1422.33, and Josh with 1364. Valerie is our worst manager of the season with 153.67 points, behind Will with 626 and Pete with 794.

Hadjar continues his stranglehold over your interests this week, making 29 selections. Oscar Piastri is some way behind with 23, followed by Albon with 18, Bearman with 16, and a trio of Colapinto, Bortoleto, and Alonso with 15. There’s still a Lawson Red Bull token kicking around, but it’s Yuki Tsunoda who is the least selected live driver, with 2 selections. Then it’s Verstappen, Hamilton, and Tsunoda’s inactive token with 3 selections. Kimi Antonelli makes 4 selections in fourth. Rounding out the least selected drivers is Norris, Leclerc, and Doohan with 7 total selections.
Haas, McLaren, and Kick Sauber are your three teams of choice, with 19, 18, and 13 selections each. Alpine only makes 2, with Red Bull just ahead with 3 selections, and Williams rounding out the bottom three with 6.
Oscar Piastri is boosted 21 times, ahead of Leclerc and Bortoleto with 5 a piece. Norris and Doohan are both boosted 4 times. We have 8 tokens in total this week, 7 of which were final fix tokens, and 1 was Stefanus’ limitless.

Prizes
I have now updated the prizes plotting for my code and we should be able to track the season long prizes with ease. So without further adieu, let’s take a look at what is currently in play this season.
Championship
| Prize Name | Prize Value | Terms |
|---|---|---|
| (%) | ||
| Champion of the World | 20 | Awarded to the top scorer in the league at the end of the season |
| If You’re Not First, You’re Last | 10 | Awarded to the second place scorer in the league at the end of the season |
| Alpine Podium | 5 | Awarded to the third place scorer in the league at the end of the season |
| Above Par | 20 | Awarded to the lowest scorer in the league at the end of the season, commonly referred to as the Golf League |
Achievements
| Prize Name | Prize Value | Terms |
|---|---|---|
| (%) | ||
| Cost Cappen | 5 | Highest average points per value at the end of the season |
| Sprint King | 5 | Highest score across the sprint races (China, Miami, Belgium, United States, Brazil, Qatar) |
| Flavio Controls Every Millimeter | 5 | Manager wide substitution count, highest wins |
| The Triple Header | 5 | Highest score across the triple header races (Japan, Bahrain, Saudi Arabia, Emilia Romagna, Monaco, Spain, Las Vegas, Qatar, Abu Dhabi) |
| I Forgot I Was Taking Part | 5 | Highest score in the first part of the season |
| Zak’s Master Plan | 5 | Lowest score in the second half of the season |
| Mega Driver | 5 | Highest Extra DRS token score |
| The Continental | 5 | Highest score across all 5 continents, Mexico classed as South America for inclusion only (Australia, Canada, Great Britain, Azerbaijan, Mexico) |
Spot Prizes
| Prize Name | Prize Value | Terms |
|---|---|---|
| (%) | ||
| The Ring | 1 | Highest score at the Austrian Grand Prix |
| Bottas Bowling | 1 | Highest score at the Hungarian Grand Prix |
| Daniel’s Broken Hand | 1 | Lowest score at the Netherlands Grand Prix |
| The Tifosi | 1 | Lowest score at the Italian Grand Prix |
| Go For The Gap | 1 | Lowest score at the Singapore Grand Prix |
Spot Prizes
We haven’t had a spot prize yet, I will post about it when we have one!
Cost Cappen
We have a new leader this week, as Sebastian moves to the top with Bridgestone Toro Rosso F1, they’re sitting at 2.1 ppm. Alfie slips down to second with I Call Patrick Subaru and 2.08 ppm. In third place it’s Stefanus and Syahrul with 2.01 ppm. This competition will run all year, but it’s nice to keep a track of it.

Flavio Controls Every Millimeter
It’s a close fight between Stefanus and Stuart for this one. Syahrul and Murder On Zidane’s Floor are both sitting on 21 substitutes. Alfie is in second with I Call Patrick Subaru and 20 subs, followed by Josh, Alfie, and Stuart with their teams Expensify APX GP, Corona Wing Corn, and Andres Inyasista with 19. None of these teams are close to the penalty limit yet though.

Mega Driver
Check back later!
Sprint King
No Change. Josh is in the lead with their other team Expensify APX GP, with 622 points. They’re ahead of Sebastian and BWT Racing Point F1 who have 555 points. In third place it’s Stefanus and Syahrul with 545 points.

The Continental
More To Come.

The Triple Header
Stefanus is leading the way on this one with Gelael and 1049 points, ahead of Alfie with Corona Wing Corn and 1020. Stefanus is in third place too with Syahrul and 985 points.

I Forgot I Was Taking Part
Similarly, I Forgot I Was Taking Part will match up with the current championship standings.

Zak’s Master Plan
Check back after the season break!
F1 Predict
Val took the top step this week with 84 points (47%), with Stuart in second with 51 points (47%). Phil was in third with 41 points (37%). Pierce, Josh, and Matty all scored 0.
Stuart is still out front with 464 points (52%), ahead of Phil in second with 408 points (45%). Val moves up to third place with 357 points (46%) ahead of Josh in fourth with 327 points (27%). Pierce is in fifth with 248 points (45%), and Matty is in sixth with 95 points (43%).
Next Up
Next up, the final race of this triple header - Barcelona, Spain.
