INCOMPLETE
Fantasy League Scores
Scores for drivers/constructors in the current year’s fantasy league, along with manager/team points, values, and statistics. Note: driver and constructor values are taken as the cost to enter the current race and are updated the week before the race.
Lineup Scores
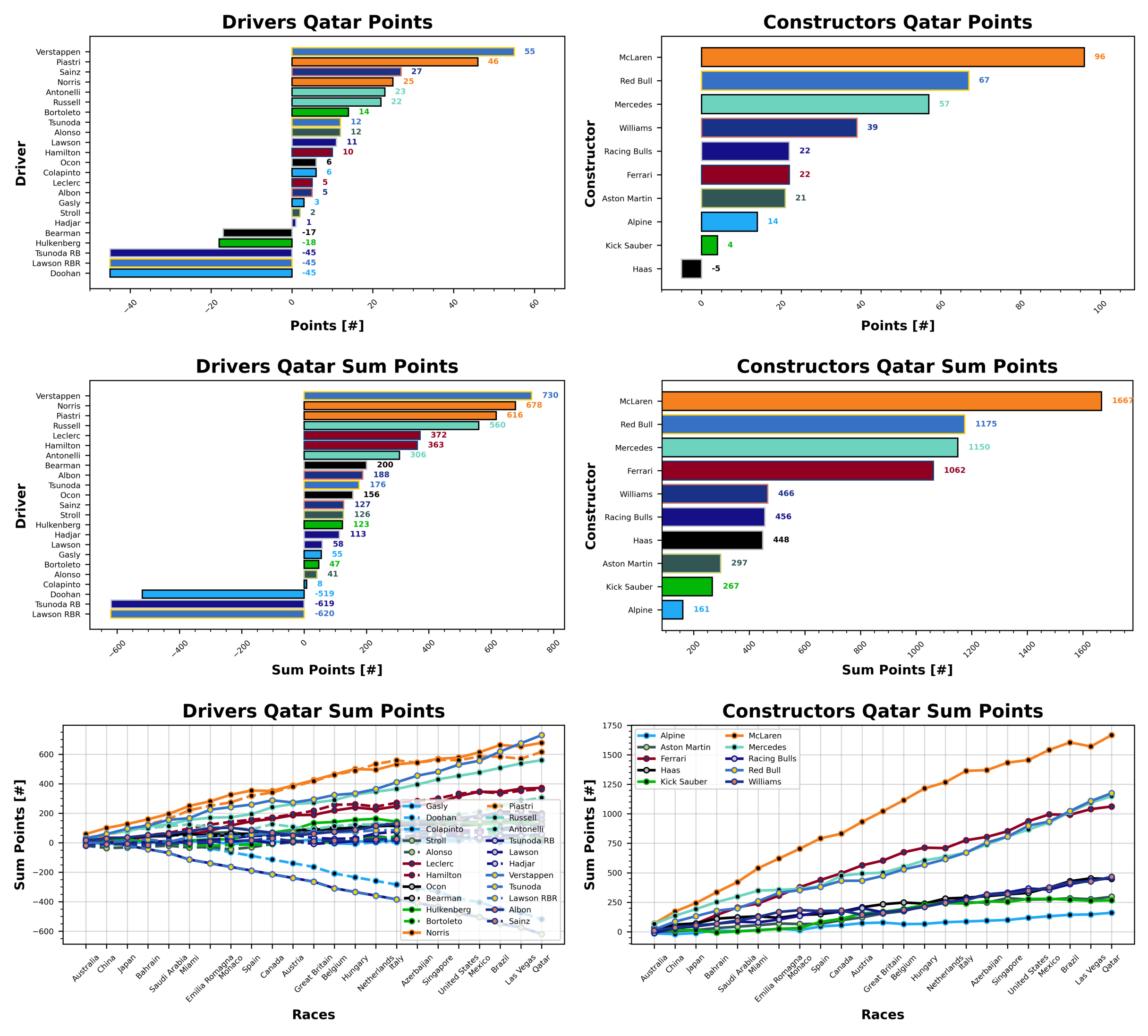
As the fight for the title rages on, Max Verstappen takes the top step again this week with a huge 55 points to Oscar Piastri’s 46. Carlos Sainz secures third place with 27 points, ahead of Lando Norris with 25. Kimi Antonelli rounds out the top five with 23 points. Nico Hulkenberg is at the bottom of the table this week with -18 points, behind Oliver Bearman with -17. Isack Hadjar next with 1 point, followed by Lance Stroll with 2. Pierre Gasly finishes off the lowest five with 3 points.
McLaren take the top step this week with 96 points ahead of Red Bull with 67 and Mercedes with 57 points. Haas come in at the bottom this week with -5 points, behind Kick Sauber with 4 points, and Alpine with 14 points.
Max Verstappen extends his lead at the top of the standings this week, the reigning champion now has 730 points, ahead of Lando Norris and Oscar Piastri with 678 and 616 points. George Russell is pretty safe in fourth place with 560 points, ahead of Charles Leclerc with 372 points in fifth. Franco Colapinto remains at the bottom of the table with 8 points, behind Fernando Alonso with 41 and Gabriel Bortoleto with 47. Pierre Gasly next with 55, behind Liam Lawson with 58 points.
McLaren extend their dominance at the top of the standings, the Woking outfit now have 1667 points to Red Bull’s 1175. The battle for third place heats up as Mercedes are close behind with 1150. Alpine remain at the bottom of the table with 161 points, behind Kick Sauber with 267 and Aston Martin with 297.

Norris looks set to be your highest value driver of the season with a value of 30.4, followed by Verstappen at 29.8. Piastri is next at 25.4, ahead of Russell and Leclerc at 23.6 and 23.3. Alonso and Colapinto were your cheapest options this week, with values of 4.5. Hulkenberg next at 5.8, followed by Gasly at 5.9. Bortoleto and Hadjar round out the cheap seats at 6.1 and 6.3, respectively.
McLaren were your most expensive option this week at 36.0, followed by Ferrari and Red Bull at 31.9 and 30.8. Kick Sauber were your cheapest at 9.3, behind Alpine at 9.9 and Aston Martin at 10.5.
All values are in Million Dollars.
George Russell maintains his 100% record for another week, followed by Verstappen at 96%, Ocon at 91%, Norris and Hamilton at 87%, and Piastri, Leclerc, Bearman, and Albon in fifth with 83% positive scoring rate. Colapinto remains the least positive scoring driver, scraping a 43% record, behind Bortoleto and Lawson at 61%. Then we have Gasly and Alonso at 65%, followed by Tsunoda and Stroll at 70%. Sainz and Hulkenberg round out the bottom five with a 74% rate.
Red Bull and Mercedes maintain their 100% record ahead of McLaren with a 96% rate. Then we have Williams at 91%, Ferrari and Haas at 87%, Racing Bulls, Aston Martin, and Alpine at 78%, with Kick Sauber at the bottom with 74% positive rate.

Colapinto remains your most consistent driver of the season with a standard deviation of 6.58 points. He’s joined by Ocon, Russell, Gasly, and Lawson with standard deviations of 8.6, 9.6, 10.0, and 10.7. Your least reliable driver of the season so far is Oscar Piastri with a standard deviation of 19.6, followed by Max Verstappen and Lando Norris with 17.7, Antonelli with 16.9, Nico Hulkenberg with 15.5, and Leclerc with 15.1.

Driver of the week this week is Smooth Operator Carlos Sainz with a points per value of 3.8 ppm. He’s followed by Fernando Alonso with 2.67 ppm, Bortoleto with 2.3 ppm, Verstappen with 1.85 ppm, and Oscar Piastri with 1.81 ppm. Worst driver of the week was Nico Hulkenberg with -3.1 ppm, followed by Bearman with -1.79 ppm. Then we have Isack Hadjar with 0.16 ppm, Charles Leclerc with 0.21 ppm, and Lance Stroll with 0.27 ppm.
McLaren were your team of the week this week with a points per value of 2.67 ppm, ahead of Red Bull with 2.18 ppm, and Williams and Mercedes with 2.03 ppm. Then, at the bottom of the table we have Haas with -0.33 ppm, Kick Sauber with 0.43 ppm, and Ferrari with 0.69 ppm.
ppm = points per million Dollars.

Manager Scores
Victory at the final sprint race weekend of the season goes to Madlen with Wet Tyres Are Blue who secure 379 points. Madlen locks out the front row with Push, Push - Box Now Too with 370 points. Then we have Stefanus and Gelael with 328 points, ahead of Madlen’s third appearance in the top five in fourth place with Soft Tyres Are Red and 311 points. Rounding out a 2-way top-five is Stefanus with Syahrul and Haryanto with 296 points.
Valerie takes the bottom three positions this week with What Arrrgh Ya Doohan, Perez for World Champion, and Stroll To The 18th with -82, -76, and -74 points, respectively. In fourth place with Stuart with Taylormade To Lose and -38 points, ahead of James and Bwoah Schweppes Puma Golf with -33 points.

Stefanus and Syahrul maintain their lead into the final race of the season with 4827 points, ahead of Patrick and Phil with their teams You Hadjar Chance Racing and BMW FTW with 4509 points. In third place we have Stefanus and Haryanto with 4419 points, ahead of Sebastian and Bridgestone Toro Rosso F1 with 4375 points. Stefanus and Gelael round out the top five with 4289 points.
Stuart continues to lead the way at the bottom of the table with -272 points, ahead of Valerie and Perez for World Champion with -85 points. Valerie and Stroll To The 18th Next with 5 points, ahead of their other team What Arrrgh Ya Doohan with 14 points. James and Bwoah Schweppes Puma Golf round out the bottom five with 54 points.
Biggest winner of the week this week is Madlen who has Soft Tyres Are Red and Push, Push - Box Now Too jump up 5 places in the standings. Biggest losers are Finn and Sam with their teams Ro@d R@ge and Gran Prix Princesses F1 dropping 2 places.

Isack Hadjar continues to be your most popular driver with 29 selections this week, ahead of Alonso with 20 in second. Then we have Sainz and Piastri with 18 selections, followed by Lando Norris with 17. In fifth, it’s Bortoleto with 15 selections. Hamilton is your least selected driver this week with only 2 teams running the Ferrari man. Then we have Stroll and Tsunoda with 3 selections, and Leclerc with 6 in third. Ocon, Antonelli, and Albon next with 7 selections each, followed by Verstappen with 9.
McLaren are your most selected team this week with 18 selections, followed by Kick Sauber with 17 selections, and Haas with 10. At the bottom we have Alpine and Racing Bulls with 6 selections, followed by Williams and Ferrari with 7 selections. Rounding out the bottom three we have Red Bull and Aston Martin with 8 selections each.
Oscar Piastri remains the most boosted driver with 13 selections, ahead of Lando Norris with 7, and Max Verstappen and Charles Leclerc with 5 selections in third. Lots of token usage this week, with 6 Extra DRS, 3 Limitless, 1 Wildcard, and 1 Final Fix tokens used in Qatar. Doohan and Norris were your tripled drivers with 3 each this week.
Please note, teams are only checked if their weekly scores do not match a copy-paste team sheet. Teams are checked at the end of the season to ensure accurate statistics.

Prizes
Championship
| Prize Name | Value | Terms | Manager | Team | Score |
|---|---|---|---|---|---|
| Champion of the World | 20% | Top scorer at end of season | |||
| If You’re Not First, You’re Last | 10% | Second place scorer at end of season | |||
| Alpine Podium | 5% | Third place scorer at end of season | |||
| Above Par | 20% | Lowest scorer at end of season (Golf League) |
Achievements
| Prize Name | Value | Terms | Manager | Team | Score | Detail |
|---|---|---|---|---|---|---|
| Cost Cappen | 5% | Highest avg points per value at end of season | ||||
| Sprint King | 5% | Highest score across sprint races (China, Miami, Belgium, US, Brazil, Qatar) | Stefanus | Haryanto | 1590 | |
| Stefanus | Syahrul | 1586 | ||||
| Josh | HSBC Jaguar Racing | 1476 | ||||
| Flavio Controls Every Millimeter | 5% | Manager-wide substitution count, highest wins | ||||
| The Triple Header | 5% | Highest score across triple header races | ||||
| I Forgot I Was Taking Part | 5% | Highest score in first part of season | Stefanus | Syahrul | 3128 | |
| Stefanus | Haryanto | 2924 | ||||
| Sebastian | Bridgestone Toro Rosso F1 | 2874 | ||||
| Zak’s Master Plan | 5% | Lowest score in second half of season | ||||
| Mega Driver | 5% | Highest Extra DRS token score | ||||
| The Continental | 5% | Highest score across 5 continents (AUS, CAN, GBR, AZE, MEX) | Finn | Ro@d R@ge | 767 | |
| Stefanus | Syahrul | 760 | ||||
| Sebastian | Bridgestone Toro Rosso F1 | 758 |
Spot Prizes
| Prize Name | Value | Terms | Manager | Team | Score |
|---|---|---|---|---|---|
| The Ring | 1% | Highest score at the Austrian Grand Prix | Stefanus | Syahrul | 308 |
| Bottas Bowling | 1% | Highest score at the Hungarian Grand Prix | Stefanus | Haryanto | 301 |
| Daniel’s Broken Hand | 1% | Lowest score at the Netherlands Grand Prix | Stuart | Taylormade To Lose | 22 |
| The Tifosi | 1% | Lowest score at the Italian Grand Prix | Valeria | Stroll To The 18th | -49 |
| Go For The Gap | 1% | Lowest score at the Singapore Grand Prix | Stuart | Taylormade To Lose | -41 |
F1 Predict
Josh takes the top step in Qatar with a score of 79 points, 53% accuracy. Phil is in second with 77 points and 43% accuracy. Everyone else scored 0 this week.
With that, Phil holds onto the top step with 1494 points. Val is in second place with 1127 ahead of Josh and Stuart in third with 1126. Pierce is in fifth with 248, ahead of Matty with 95 points.
Next Up
Next up, we have the final triple header - Vegas, Qatar, Abu Dhabi. The final push for the title. Good luck to you all.
