Fantasy League Scores
Scores for drivers/constructors in the current year’s fantasy league, along with manager/team points, values, and statistics. Note: driver and constructor values are taken as the cost to enter the current race and are updated the week before the race.
Lineup Scores
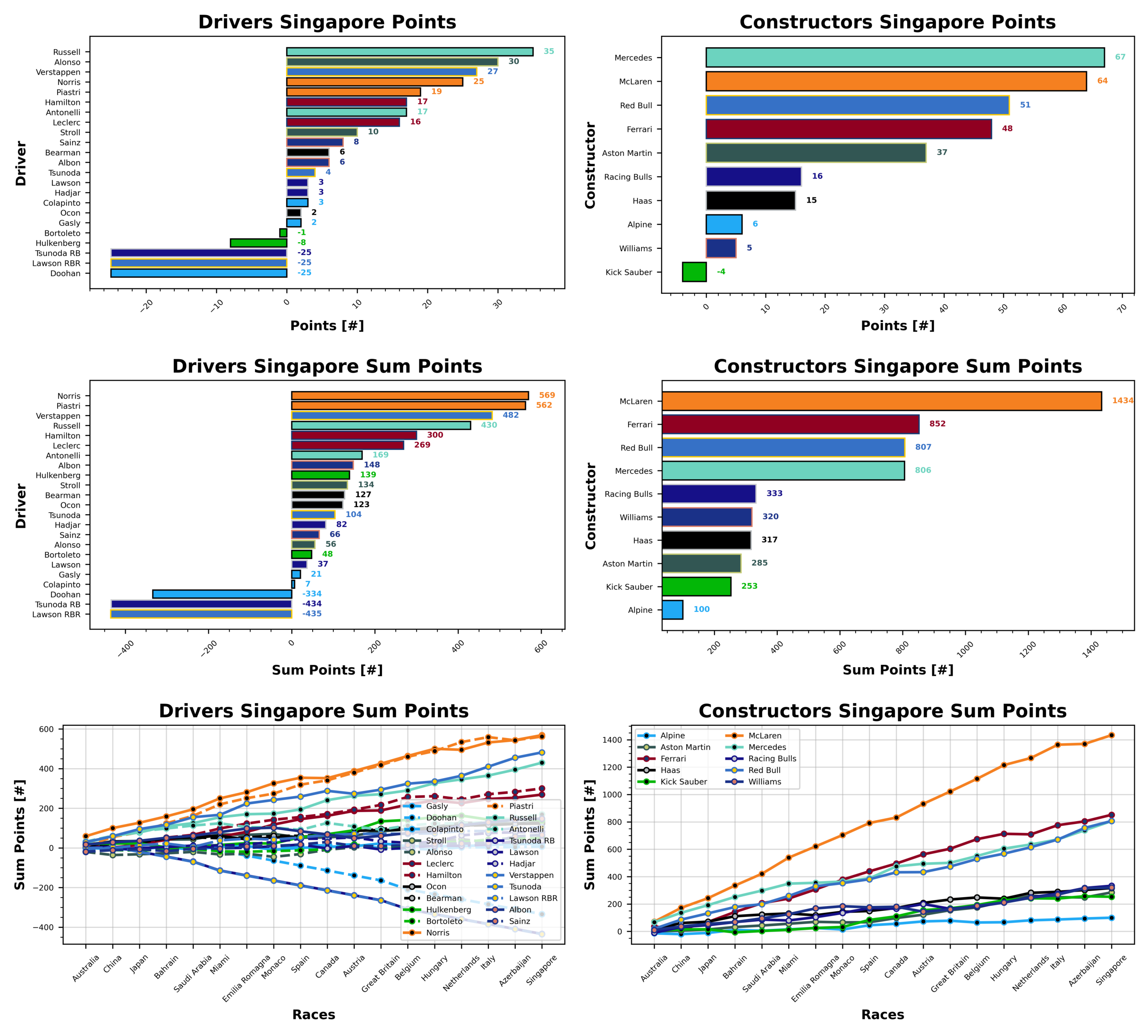
Race winner George Russell tops the table this week with 35 points, ahead of driver of the day Fernando Alonso with 30. Max Verstappen makes it top three this week with 27 ahead of nearest rivals Lando Norris and Oscar Piastri with 25 and 19, respectively. Nico Hulkenberg is at the bottom this week after a big spin, to bring home -8 points, behind teammate Gabriel Bortoleto with -1. Gasly and Ocon tie for third with 2 points, followed by Colapinto, Hadjar, and Lawson with3. Yuki Tsunoda rounds out the bottom five with 4 points.
Mercedes take the top step this week as we have back-to-back non-McLaren victories. They come home with 67 points, ahead of McLaren with 64. Red Bull round out the top three with 51. Kick Sauber are at the bottom with -4 points, behind Williams with 5 and Alpine with 6.
Lando Norris extends at the top of the standings with 569 points, ahead of Piastri with 562. As in real life, Max Verstappen is gaining, the Dutchman now with 482 points in third place. George Russell jumps closer too with 430, ahead of Hamilton on a satisfying 300 points. Colapinto sits at the bottom with 7 points, behind teammate Gasly with 21. Liam Lawson is in third with 37, behind Gabriel Bortoleto with 48. Fernando Alonso rounds out the bottom five with 56 points.
McLaren are at the top with 1434 points, ahead of Ferrari with 852 and REd Bull with 807. Alpine are finally on triple digits with 100, behind Kick Sauber with 253 and Aston Martin with 285.

Norris’ value continues to decrease this week, the Brit setting you back 30.9. Verstappen next, who continues to increase with 28.5, and Piastri with 26.9. Leclerc takes another decrease to 23.0, with Lewis rounding out the top five with 22.9. Colapinto and Gasly down at the cheap end at 4.5, followed by Sainz (5.7), Bortoleto and Lawson (5.9), Hadjar (6.9), and Alonso and Bearman (7.3).
McLaren’s value continues to skyrocket, the woking team now costing you 35.1, ahead of Ferrari at 30.6 and Red Bull at 29.3. Alpine are the cheapest team at 8.1, behind Kick Sauber at 10.7, and Aston Martin at 12.3.
All values are in Million Dollars.
George Russell continues his streak at the top, with Verstappen, Piastri, and Ocon the next on the list for number of positive scoring weekends. Colapinto continues at the bottom, followed by Bortoleto, Gasly, Lawson, and Tsunoda sitting at just under 2/3 of the races.
Red Bull, Mercedes, and McLaren continue their record at the top, followed by Williams, Haas, and Ferrari, then it’s Aston Martin, Racing Bulls and Kick Sauber, and Alpine with just under 3/4 of the races scored positively.

Colapinto remains your most reliable driver of the season, with a standard deviation from his average score of 5.95 points. Ocon, Bearman, Tsunoda, and Lawson are the remaining consistent drivers of the top five. Your least consistent driver of the season is rookie Kimi Antonelli, with a standard deviation of 16.69 points. Alpine are your most consistent team of the season with a standard deviation of 11.75 points, they’re followed by Aston Martin and Haas. Your least consistent team is Ferrari with a standard deviation of 25.71 points.

Driver of the week this week could be no one else but Fernando Alonso, the Spaniard bringing home a points per value of 4.11 ppm. He’s leaps ahead of George Russell in second with 1.54, and Sainz in third with 1.4 ppm. Antonelli is next with 1.14 ppm, and Stroll in fifth with 1.01 ppm. Nico Hulkenberg is at the bottom with -0.93 ppm, behind Bortoleto with -0.17 ppm. Esteban Ocon next with 0.24 ppm, and then Tsunoda with 0.41 ppm. Isack Hadjar rounds out the bottom five with 0.43 ppm.
Aston Martin are team of the week this week with 3.01 ppm. Mercedes in second with 2.52 ppm and McLaren third with 1.82 ppm. Kick Sauber at the bottom with -0.37 ppm, behind Williams with 0.29 ppm and Alpine with 0.74 ppm.
ppm = points per million Dollars.

Manager Scores
Sam takes the top two steps this week with Grand Prix Princesses F1 and Major Upgrade Coming with 196 and 190 points, tied with Phil and BMW FTW. In third place it’s another appearance from Sam with Total F1 Performance and 178 points. Alfie makes it to fourth with Corona Wing Corn, tied with Sebastian and Allianz BMW Williams with 168 points. Chloe rounds out the top five with Mickeys Roadster Racers and 164.
A return to form for Stuart and Taylormade To Lose at the bottom of the table with -41 points. Valerie is in second with What Arrrgh Ya Doohan with -29 points. Alfie makes it to third place with Cucumberpotatolamborghini with -18, followed by Valerie and Perez for World Champion with -11. James rounds out the bottom five with Bwoah Schweppes Puma Golf with -10 points.

Stefanus and Syahrul hold on to the top step with 3780 points, Patrick and You Hadjar Chance Racing are in second with 3547 points. Sebastian and Bridgestone Toro Rosso F1 work their way back up to third with 3453 this week, ahead of Alfie and I Call Patrick Subaru with 3417 points. Stefanus and Haryanto round out the top five with 3406.
Stuart and Taylormade To Lose are still in the lead of the Golf League with -32 points, ahead of Valerie’s army with What Arrrgh Ya Doohan, Perez For World Champion, and Stroll To The 18th with 135, 149, and 264 points. James rounds out the bottom five with Bwoah Schweppes Puma Golf with 314 points.
No real biggest winners this week, as a handful of teams jump up 1 place and a handful drop down 1 place.

Isack Hadjar remains your most selected driver of the season with 31 appearances this week. Carlos Sainz sees a surge in popularity with 24 selections, followed by Piastri with 22. Alonso next with 16, and Bortoleto and Bearman round out the top five with 15 selections. Antonelli, Hamilton, and Stroll make your least selected with 3 each, followed by Verstappen and Tsunoda with 4. Russell next with 7, followed by Leclerc and Lawson with 8. Norris and Colapinto round out the bottom five with 9 selections.
McLaren remain your most selected team with 20 this week, ahead of Kick Sauber with 15 and Racing Bulls with 12. Mercedes were your least selected team with only 4, behind Red Bull with 6, and Alpine, Aston Martin, and Williams with 7.
Oscar Piastri remains the most boosted driver with 22, ahead of Norris and Leclerc with 4, and Bortoleto with 3. Only 1 No Negative token this week.
Please note, teams are only checked if their weekly scores do not match a copy-paste team sheet. Teams are checked at the end of the season to ensure accurate statistics.

Prizes
Championship
| Prize Name | Prize Value | Terms |
|---|---|---|
| (%) | ||
| Champion of the World | 20 | Awarded to the top scorer in the league at the end of the season |
| If You’re Not First, You’re Last | 10 | Awarded to the second place scorer in the league at the end of the season |
| Alpine Podium | 5 | Awarded to the third place scorer in the league at the end of the season |
| Above Par | 20 | Awarded to the lowest scorer in the league at the end of the season, commonly referred to as the Golf League |
Achievements
| Prize Name | Prize Value | Terms |
|---|---|---|
| (%) | ||
| Cost Cappen | 5 | Highest average points per value at the end of the season |
| Sprint King | 5 | Highest score across the sprint races (China, Miami, Belgium, United States, Brazil, Qatar) |
| Flavio Controls Every Millimeter | 5 | Manager wide substitution count, highest wins |
| The Triple Header | 5 | Highest score across the triple header races (Japan, Bahrain, Saudi Arabia, Emilia Romagna, Monaco, Spain, Las Vegas, Qatar, Abu Dhabi) |
| I Forgot I Was Taking Part | 5 | Highest score in the first part of the season |
| Zak’s Master Plan | 5 | Lowest score in the second half of the season |
| Mega Driver | 5 | Highest Extra DRS token score |
| The Continental | 5 | Highest score across all 5 continents, Mexico classed as South America for inclusion only (Australia, Canada, Great Britain, Azerbaijan, Mexico) |
Spot Prizes
| Prize Name | Prize Value | Terms |
|---|---|---|
| (%) | ||
| The Ring | 1 | Highest score at the Austrian Grand Prix |
| Bottas Bowling | 1 | Highest score at the Hungarian Grand Prix |
| Daniel’s Broken Hand | 1 | Lowest score at the Netherlands Grand Prix |
| The Tifosi | 1 | Lowest score at the Italian Grand Prix |
| Go For The Gap | 1 | Lowest score at the Singapore Grand Prix |
Spot Prizes
Singapore was a spot prize week for the lowest score, and the prize goes to Stuart with Taylormade To Lose, who score -41 points.
Cost Cappen
Patrick and You Hadjar Chance Racing are leading the way with a 1.920 ppm, ahead of Stefanus and Syahrul with 1.899 ppm. Alfie and I Call Patrick Subaru are in third place with 1.872 ppm.
Flavio Controls Every Millimeter
Stefanus leads the way with Gelael and Haryanto sitting on 42 and 41 substitutes each, followed by Josh in third with Kingfisher Force India F1 with 39.
Mega Driver
Check back later!
Sprint King
Check back later!
The Continental
Finn currently leads the way with Ro@d R@ge sitting on 617 points. Sebastian is in second with Bridgestone Toro Rosso F1 and 599 points. Jake and Kick Sauber in the Audi are in third with 576 points.
The Triple Header
Check back later!
I Forgot I Was Taking Part
I Forgot I Was Taking Part comes to a close, with Stefanus and Syahrul taking the top step with 3128 points. Haryanto is in second with 2924 points, and Sebastian and Bridgestone Toro Rosso F1 rounds out the podium with 2874 points.
Zak’s Master Plan
Patrick and You Hadjar Chance Racing lead the way with 711 points, ahead of Madlen and Wet Tyres Are Blue with 704, tied with Sam and Total F1 Performance. Finn and Ro@d R@ge are in third with 686 points.
F1 Predict
Phil takes the top score this week with 66 points, ahead of Val with 63 and Josh with 43. All other managers scored 0.
So Phil leads the way with 1094 points, ahead of Stuart with 980, Val with 846, and Josh with 833. Pierce is in fifth with 248, and Matty last with 95 points.
Next Up
Next up, Texas and the COTA circuit. We begin the flyaways to the states next time out, as we approach the final sprints and triple header prizes.
