Fantasy League Scores
Scores for drivers/constructors in the current year’s fantasy league, along with manager/team points, values, and statistics. Note: driver and constructor values are taken as the cost to enter the current race and are updated the week before the race.
Lineup Scores
Max Verstappen may have stormed to an almost perfect weekend, but Charles Leclerc has matched him at the top of the table this week, with the pair scoring 48 points each. Yuki Tsunoda makes it to third this week with a strong performance with 37 points, ahead of Lewis Hamilton in fourth with 32. George Russell is in fifth with 24 points. Fernando Alonso sits at the bottom of the table with -16 points, with Esteban Ocon behind with -8. Lance Stroll makes it a disappointing weekend for Aston Martin with -3 points, he’s joined by Carlos Sainz in third. Oscar Piastri next, with -2 points, behind Nico Hulkenberg with 2.
Red Bull dethrone McLaren at the top of the table this week with 92 points, ahead of Ferrari in second with 85. Mercedes round out the top three with 61 points. Aston Martin come home with -12 points, behind Haas with 13 and Alpine with 18.
Lando Norris maintains his lead at the top with 578 points, ahead of teammate Piastri with 560. Max Verstappen reels them in this week with 530 points in the standings. George Russell is a distant fourth with 454 points, ahead of Lewis Hamilton with 332. Franco Colapinto sits at the bottom of the standings with 14 points, 10 behind teammate Gasly with 24. Then we have Fernando Alonso with 40, behind Liam Lawson with 52. Carlos Sainz rounds out the bottom five with 63 points.
McLaren still sit at the top, even after a disappointing weekend with 1456 points. Ferrari are a distant second with 937, and Red Bull are in third with 899 points. Alpine sit at the bottom with 118 points, some way behind Aston Martin with 273 and Kick Sauber with 278.

Norris’ value continues to decrease this week, the Brit setting you back 30.8. Verstappen next, who continues to increase with 28.8, and Piastri with 26.6. Russell jumps up the order with 23.0. Leclerc takes another decrease to 22.9. Colapinto and Gasly down at the cheap end at 4.5, followed by Bortoleto (6.1), Sainz (6.3) and Lawson (6.5), and Alonso (6.7).
McLaren’s value continues to skyrocket, the woking team now costing you 35.4, ahead of Ferrari at 30.9 and Red Bull at 29.6. Alpine are the cheapest team at 7.9, behind Kick Sauber at 10.1, and Aston Martin at 12.1.
All values are in Million Dollars.
George Russell continues his streak at the top, with Verstappen, Piastri, Ocon, Norris, and Hamilton the next on the list for number of positive scoring weekends. Colapinto continues at the bottom, followed by Alonso, Bortoleto, Gasly, Lawson, and Tsunoda sitting at just under 2/3 of the races.
Red Bull, Mercedes, and McLaren continue their record at the top, followed by Williams, Haas, and Ferrari, then it’s Aston Martin, Racing Bulls and Kick Sauber, and Alpine with just under 3/4 of the races scored positively.

Colapinto remains your most reliable driver of the season, with a standard deviation from his average score of 5.98 points. Ocon, Bearman, Gasly, and Lawson are the remaining consistent drivers of the top five. Your least consistent driver of the season is Oscar Piastri, with a standard deviation of 17.58 points. Alpine are your most consistent team of the season with a standard deviation of 11.77 points, they’re followed by Haas and Aston Martin. Your least consistent team is McLaren with a standard deviation of 28.03 points.

Driver of the week this week is Yuki Tsunoda, who returns to good form with a points per value of 3.85 ppm. He’s followed by Gabriel Bortoleto with 2.79 ppm, and Liam Lawson with 2.31 ppm. Then we have Charles Leclerc with 2.1 ppm, and Oli Bearman with 1.97 ppm. Worst driver of the week this week is Fernando Alonso, who suffers a -2.39 ppm, behind Esteban Ocon with -1.04 ppm. Then we have Carlos Sainz with -0.48 ppm, and Lance Stroll with -0.32 ppm. Oscar Piastri rounds out the bottom five with -0.08 ppm.
Red Bull were your team of the week this week with 3.11 ppm, ahead of Ferrari with 2.75 ppm and Racing Bulls with 2.5 ppm. Aston Martin were your worst team of the week with -0.99 ppm, behind McLaren with 0.62 ppm and Haas with 1.0 ppm.
ppm = points per million Dollars.

Manager Scores
Phil and BMW FTW takes the honours this week with 289 points, ahead of Jake and I Am Stupid Rookie with 274. Sebastian and Allianz BMW Williams are in third with 232 points, followed by Sam and Total F1 performance with 225 in fourth. Jake makes a second appearance in the top five with Kick Sauber In The Audi with 216 points.
James returns to the top step in the Golf League this week with Bwoah Schweppes Puma Golf, coming home with -50 points. Valerie is in second with -28 points, followed by Pete with Seagiant F1 Online with -21 points. Valerie is is fourth with Perez For World Champion bringing home -6, just ahead of Stuart and Taylormade To Lose with -5 points.

It’s getting very tight at the top but Stefanus and Syahrul hold onto the lead with 3853 points ahead of Patrick and You Hadjar Chance Racing with 3762. Phil moves up to third with BMW FTW coming in with 3694 points, ahead of Stefanus and Haryanto in fourth with 3610. Sebastian and Bridgestone Toro Rosso F1 round out the top five with 3534 points.
Stuart and Taylormade To Lose hold onto the lead in the Golf League with -37 points, ahead of Valerie’s army of teams: What Arrrgh Ya Doohan (131), Perez For World Champion (143) and Stroll to the 18th (236). James and Bwoah Schweppes Puma Golf are in fifth with 264 points.
Biggest winner this week was Sam, with Total F1 Performance jumping 6 places in the standings.

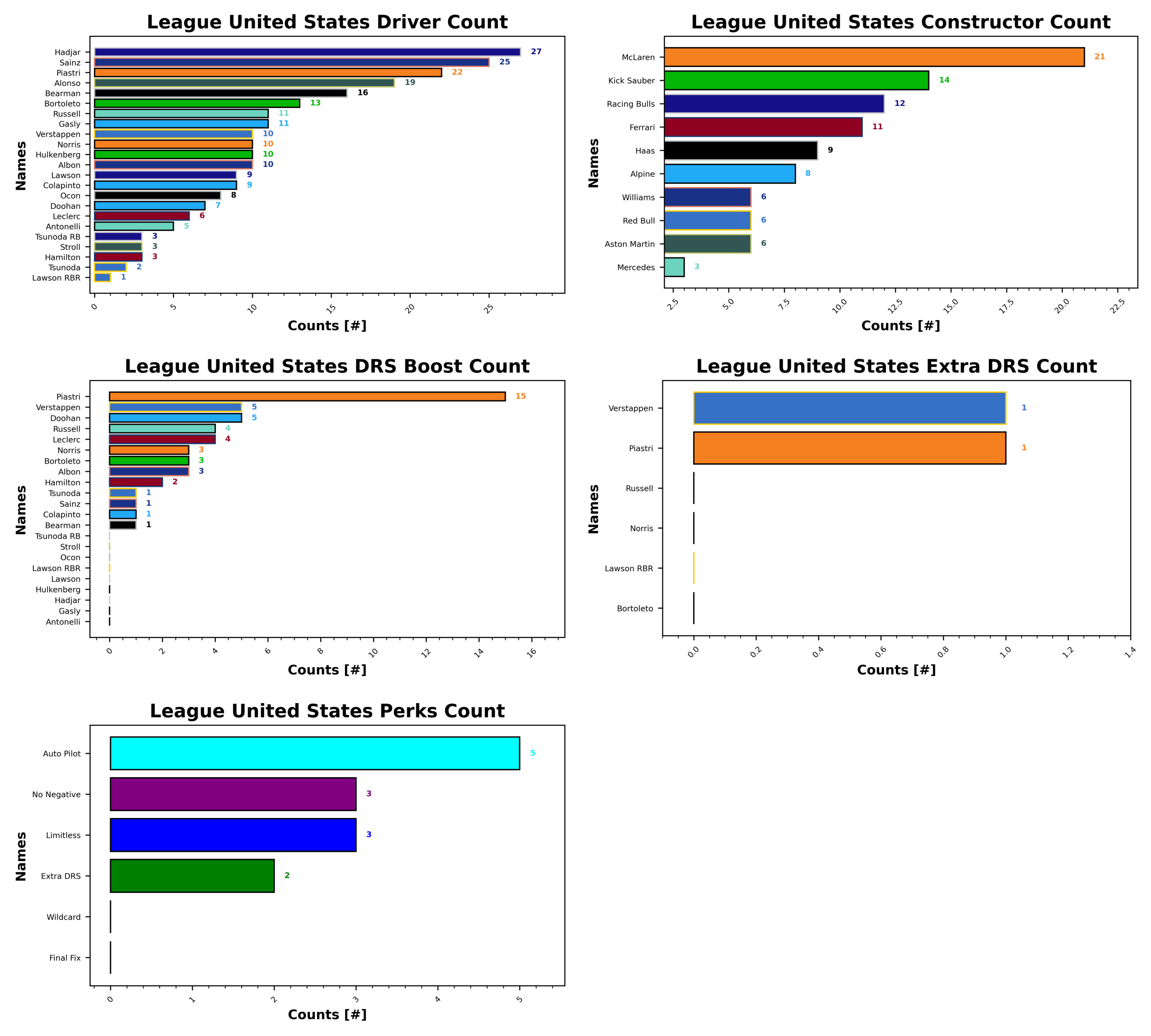
Isack Hadjar remains your most selected driver of the season with 27 appearances this week. Carlos Sainz sees a surge in popularity with 25 selections, followed by Piastri with 22. Alonso next with 19, and Bearman round out the top five with 16 selections. Tsunoda was your least selected driver with only 2, followed by Hamilton and Stroll with 3 each, and Antonelli with 5. Leclerc with 6 and Ocon next with 8.
McLaren remain your most selected team with 21 this week, ahead of Kick Sauber with 14 and Racing Bulls with 12. Mercedes were your least selected team with only 3, behind Red Bull, Aston Martin, and Williams with 6, Alpine round out the bottom three with 8.
Oscar Piastri remains the most boosted driver with 15, ahead of Verstappen and Doohan with 5, and Russel and Leclerc with 4. Lots of tokens this week, 5 Auto Pilots, 3 No Negatives, 3 Limitless, and 2 Extra DRS going to Verstappen and Piastri.
Please note, teams are only checked if their weekly scores do not match a copy-paste team sheet. Teams are checked at the end of the season to ensure accurate statistics.

Prizes
Championship
| Prize Name | Prize Value | Terms |
|---|---|---|
| (%) | ||
| Champion of the World | 20 | Awarded to the top scorer in the league at the end of the season |
| If You’re Not First, You’re Last | 10 | Awarded to the second place scorer in the league at the end of the season |
| Alpine Podium | 5 | Awarded to the third place scorer in the league at the end of the season |
| Above Par | 20 | Awarded to the lowest scorer in the league at the end of the season, commonly referred to as the Golf League |
Achievements
| Prize Name | Prize Value | Terms |
|---|---|---|
| (%) | ||
| Cost Cappen | 5 | Highest average points per value at the end of the season |
| Sprint King | 5 | Highest score across the sprint races (China, Miami, Belgium, United States, Brazil, Qatar) |
| Flavio Controls Every Millimeter | 5 | Manager wide substitution count, highest wins |
| The Triple Header | 5 | Highest score across the triple header races (Japan, Bahrain, Saudi Arabia, Emilia Romagna, Monaco, Spain, Las Vegas, Qatar, Abu Dhabi) |
| I Forgot I Was Taking Part | 5 | Highest score in the first part of the season |
| Zak’s Master Plan | 5 | Lowest score in the second half of the season |
| Mega Driver | 5 | Highest Extra DRS token score |
| The Continental | 5 | Highest score across all 5 continents, Mexico classed as South America for inclusion only (Australia, Canada, Great Britain, Azerbaijan, Mexico) |
Spot Prizes
| Prize Name | Prize Value | Terms |
|---|---|---|
| (%) | ||
| The Ring | 1 | Highest score at the Austrian Grand Prix |
| Bottas Bowling | 1 | Highest score at the Hungarian Grand Prix |
| Daniel’s Broken Hand | 1 | Lowest score at the Netherlands Grand Prix |
| The Tifosi | 1 | Lowest score at the Italian Grand Prix |
| Go For The Gap | 1 | Lowest score at the Singapore Grand Prix |
Spot Prizes
Singapore was a spot prize week for the lowest score, and the prize goes to Stuart with Taylormade To Lose, who score -41 points.
Cost Cappen
Patrick and You Hadjar Chance Racing are leading the way with a 1.915 ppm, ahead of Phil and BMW FTW with 1.873 ppm. Stefanus and Syahrul are in third place with 1.850 ppm.
Flavio Controls Every Millimeter
Stefanus leads the way with Gelael and Haryanto sitting on 44 and 43 substitutes each, followed by Josh in third with Expensify APX GP with 41.
Mega Driver
Check back later!
Sprint King
United States was a Sprint Race so we have an update to the Sprint King standings. Josh and HSBC Jaguar Racing lead the way with 1094 points, ahead of Stefanus and Haryanto with 1004. Josh and Kingfisher Force India F1 are in third with 1001 points.
The Continental
Finn currently leads the way with Ro@d R@ge sitting on 617 points. Sebastian is in second with Bridgestone Toro Rosso F1 and 599 points. Jake and Kick Sauber in the Audi are in third with 576 points.
The Triple Header
Stefanus occupies all three of the top spots with Gelael, Syahrul, and Haryanto with 1343, 1255, and 1218 points.
I Forgot I Was Taking Part
I Forgot I Was Taking Part comes to a close, with Stefanus and Syahrul taking the top step with 3128 points. Haryanto is in second with 2924 points, and Sebastian and Bridgestone Toro Rosso F1 rounds out the podium with 2874 points.
Zak’s Master Plan
Sam and Total F1 Performance lead the way at the moment with 929 points, ahead of Patrick and You Hadjar Chance Racing with 926. Phil and BMW FTW are in third with 893 points.
F1 Predict
Josh takes the top spot this week with 90 points, Phil is in second with 60, and Val in third with 45, they’re tied with Stuart. Pierce and Matty score 0.
Phil holds onto the lead with 1154 points, ahead of Stuart with 1025 points. Josh jumps up to third with 923, ahead of Val in fourth with 891 points. Pierce is in fifth with 248 points, and Matty is last with 95.
Next Up
Next up Mexico and the championship battle is well and truly on.
